Sisältö
- Kirjoittajat: Marko Merikukka, Heidi Backman, Lotta Heikkilä ja Marjo Kurki
- Oppaaseen viitataan näin: Merikukka, M., Backman, H., Heikkilä, L. & Kurki, M. (2025). Lasten ja nuorten mielenterveyttä edistävien psykososiaalisten menetelmien vaikuttavuus – Opas näytön systemaattiseen arviointiin. Itlan oppaat ja käsikirjat 2025:1
- Pdf-versio: Lue opas pdf-versiona
Esipuhe ja kiitokset
Yhä useampien ammattilaisten, tutkijoiden ja päättäjien näkemys on, että lapsille, nuorille ja perheille suunnattujen mielenterveyttä edistävien psykososiaalisten menetelmien tulee pohjautua parhaaseen mahdolliseen näyttöön menetelmän vaikuttavuudesta (Scurlock-Evans & Upton, 2015; WHO, 2020a, 2020b). Myös terveydenhuoltolain (1326/2010) mukaan terveydenhuollon toiminnan on perustuttava näyttöön ja hyviin hoito- ja toimintakäytäntöihin. Sosiaalihuoltolain (1301/2014) mukaan sosiaalityön toteutumista ja vaikuttavuutta on seurattava, mutta vaikuttavuuden mittaamista tai seuraamistapoja ei ole tarkemmin määritelty.
Tässä oppaassa perehdytään siihen, miten voidaan arvioida lapsille, nuorille ja perheille suunnattujen mielenterveyttä edistävien psykososiaalisten menetelmien vaikuttavuutta. Arviointia tarvitaan, jotta sosiaali- ja terveydenhuoltoa voidaan tukea kansallisesti eikä vaikuttavuutta tarvitse arvioida paikallisesti. Jotta arviointi on luotettavaa ja systemaattista, tarvitaan arviointijärjestelmä. Tässä työssä olemme mallintaneet norjalaisen yhteistyökumppanin Ungsinnin arviointijärjestelmää. Jatkossa voimme vertailla menetelmien vaikuttavuutta Norjan ja Suomen välillä.
Vaikuttavien psykososiaalisten menetelmien käyttö osana palvelujärjestelmän tavanomaista toimintaa tuottaa kansanterveyshyötyä, kun menetelmillä voidaan vaikuttavasti edistää lasten ja nuorten mielenterveyttä ja psykososiaalista hyvinvointia sekä ehkäistä ja hoitaa mielenterveysongelmia varhaisessa vaiheessa. Vaikuttavien menetelmien käytöstä on hyötyä sekä palvelujärjestelmän että yhteiskunnan näkökulmasta katsottuna: kun asiakkaat saavat vaikuttavaa apua jo varhaisessa vaiheessa, heidän ei tarvitse hakeutua palveluihin uudelleen yhtä usein kuin tilanteessa, jossa käytettyjen menetelmien vaikuttavuudesta ei ole tutkittua tietoa. Saatu hyöty näkyy aika- ja talousresurssien säästymisenä. Erityisen tärkeää vaikuttavien menetelmien käyttö on vallitsevuudeltaan yleisimpien häiriöiden, kuten masennuksen, ahdistuneisuuden ja käytöshäiriöiden, ehkäisyssä.
Kaikilla lapsilla, nuorilla ja heidän vanhemmillaan on oikeus saada parasta mahdollista ja vaikuttavaa tukea oikea-aikaisesti.
Kiitämme ammatillisesta tuesta erityisesti Kasvun tuen perustajaa Petra Kouvosta, Kasvun tuen norjalaisen vastineen Ungsinnin perustajaa Monica Martinussenia ja päätoimittajaa Helene Engia. Kiitämme lisäksi tieteellistä toimituskuntaa: Taina Laajasaloa, Kirsi Peltosta, Riittakerttu Kaltialaa, Jorma Komulaista ja Susanna Hinkka-Yli-Salomäkeä arvokkaista huomioista arviointijärjestelmän kääntämisessä suomalaiseen kontekstiin sopivaksi. Kiitos myös professori Antti Malmivaaralle, Noora Seilolle, Nina Melleniukselle, Jonna Lehikoiselle, Sara Tanille, Vilja Seppälälle, Petri Niinisalolle, Vilma Westersundille, tämän oppaan oikolukijalle Merja Suomelalle, Ungsinn-arviointioppaan kääntäjälle Sonja Gilbertille ja oppaan taittajalle Päivi Saarentaukselle kaikesta saamastamme avusta.
Helsingissä 9. tammikuuta 2025
Marko Merikukka, Heidi Backman, Lotta Heikkilä & Marjo Kurki
Tausta arviointijärjestelmän uudistamiselle
Lasten ja nuorten mielenterveyttä edistävien psykososiaalisten menetelmien arviointi on alkanut lastensäätiö Itlan Kasvun tuessa jo yli kymmenen vuotta sitten vuonna 2014, jolloin ensimmäistä arviointijärjestelmää lähdettiin kehittämään. Kehitystyötä oli tukemassa pohjoismainen yhteistyöverkosto NordiDataPrev, joka koostuu Kasvun tuen lisäksi muista pohjoismaisista menetelmäpankeista: norjalainen Ungsinn, ruotsalainen Metodguiden ja tanskalainen Vidensportalen. Tuolloin arviointiprosessiin otettiin ne mielenterveyttä edistävät psykososiaaliset menetelmät, jotka täyttivät neljä vähimmäisvaatimusta:
i) Kohderyhmänä oli oltava alle 18-vuotiaat lapset ja nuoret.
ii) Menetelmän oli perustuttava tutkimukseen pohjautuvaan teoriaan.
iii) Koulutusta menetelmään tuli olla saatavilla Suomessa.
iv) Menetelmällä tuli olla eettinen arvopohja.
Jos vähimmäisvaatimukset täyttyivät, menetelmän tutkimus- ja vaikuttavuusnäyttö sekä sovellettavuus arvioitiin. Näytön perusteella menetelmä luokiteltiin johonkin viidestä kokonaisarvioluokasta: Ei riittävää tutkimusnäyttöä, ei dokumentoitua vaikuttavuusnäyttöä, vähäinen dokumentoitu näyttö, kohtalainen dokumentoitu näyttö ja vahva dokumentoitu näyttö. Arviointijärjestelmässä ei huomioitu sitä, miten valmiita menetelmät olivat käyttöön otettaviksi eli implementoitaviksi. Toisin sanoen menetelmien käyttöönoton tukea ei arvioitu, mikä on menetelmien käyttöönoton ja ylläpidon kannalta vaikuttavuuden saavuttamiseksi olennaista. Tämän vuoksi vahvan dokumentoidun näytön menetelmien kehitysaste vaihteli. Vuonna 2022 arviointijärjestelmä uudistettiin siten, että siinä huomioidaan nyt myös menetelmän käyttöönoton tuki. Uudistettu järjestelmä kuvataan tässä oppaassa.
Arviointijärjestelmän uudistamisen ja menetelmäarvioiden julkaisemistavan muuttamisen esikuvana on käytetty norjalaisen Ungsinn-lehden arviointijärjestelmää ja julkaisutapaa. Ungsinnissa menetelmäarvioita on julkaistu vertaisarvioituina systemaattisina kirjallisuuskatsauksina tieteellisessä lehdessä jo vuodesta 2009 alkaen. Ungsinnin arviointijärjestelmään tukeutuminen tekee Kasvun tuen ja Ungsinnin arvioista keskenään aiempaa vertailukelpoisempia. Kasvun tuen ja Ungsinnin menetelmäarvioiden tutkimuskysymykset ovat muuten samanlaiset, mutta Kasvun tuessa menetelmän vaikuttavuutta tutkitaan suomalaisessa kontekstissa ja Ungsinnissa norjalaisessa. Menetelmäarviot julkaistaan sekä Itlan julkaisemassa Kasvun tuki -aikakauslehdessä että menetelmäpankissa.
Tämä arviointiopas pohjautuu Ungsinnin vastaavaan oppaaseen (Martinussen ym., 2019). Opasta ei ainoastaan käännetty suomeksi, vaan arviointijärjestelmä muokattiin suomalaiseen kontekstiin sopivaksi, oppaan sisältö järjesteltiin uudelleen ja tuotettiin lisää sisältöä erityisesti Suomessa toimivien menetelmien kotipesien tarpeisiin.
Arviointiin pääsy on meriitti itsessään. Tällöin katsotaan, että menetelmällä on tieteellinen teoriaperusta ja se noudattaa eettisiä periaatteita.
Arviointioppaan tavoite
Arviointioppaan tavoitteena on ollut kuvata läpinäkyvästi prosessi, jossa arvioidaan sellaisten menetelmien vaikuttavuutta, jotka edistävät lasten, nuorten ja perheiden mielenterveyttä. Oppaassa kuvataan itse arviointiprosessi sekä arvioinnin kriteerit. Kriteerit eivät psykososiaalisten menetelmien kompleksisuuden vuoksi ole yksioikoisia, vaan arviointiprosessi sisältää jonkin verran holistisuutta eli yksittäisiä kriteereitä ei voida tarkastella irrallaan toisistaan. Arviointijärjestelmän tavoitteena on ollut vähentää arviointiprosessin holistisuutta ja tehdä holistisesta tarkastelusta mahdollisimman pitkälle systemaattista. Holistisissa kysymyksissä Kasvun tuen arvioinnin asiantuntijoita ja arvioitsijoita auttaa tieteellinen toimituskunta. Tieteelliseen toimituskuntaan kuuluu eri tieteenalojen edustajia, joilla on laaja-alainen kokemus näyttöön perustuvista lasten, nuorten ja perheiden psykososiaalisista menetelmistä ja palveluista sekä lapsipolitiikan kentästä Suomessa.
Oppaan arviointiprosessi keskittyy vaikuttavuuden arviointiin, mutta myös menetelmän kuvauksen sekä käyttöönoton tuen arviointeihin. Menetelmän kuvaus on erityisen tärkeä, koska sen avulla vaikuttavuustutkimuksissa arvioitu psykososiaalinen menetelmä voidaan todentaa kotipesän levittämää menetelmää vastaavaksi. Käyttöönoton tuki puolestaan tukee vaikuttavan menetelmän toteutumista käytännössä. Arviointiprosessi huomioi vaikuttavuuden lisäksi myös turvallisuuden. Jos tutkimuskirjallisuus antaa viitteitä menetelmän haitallisuudesta, niin menetelmä voi saada arvion: kielteisiä vaikutuksia. Menetelmien mahdollinen kustannusvaikuttavuustieto on mukana systemaattisissa katsauksissa.
Opas on tarkoitettu ensisijaisesti menetelmien arvioitsijoille ja kotipesille
Tämä arviointiopas on kirjoitettu ensisijaisesti niille, jotka arvioivat lasten, nuorten ja perheiden mielenterveyttä edistäviä psykososiaalisia menetelmiä, eli systemaattisten katsausten kirjoittajille koulutusmateriaaliksi ja arviointiprosessin tueksi. Lisäksi opas on tarkoitettu menetelmiä ylläpitäville organisaatioille eli kotipesille arviointiprosessiin tutustumisen materiaaliksi mutta myös menetelmien kehittämisen lähteeksi.
Toissijaisesti opas on tarkoitettu kaikille menetelmäarvioinnista ja vaikuttavuuden arvioinnista kiinnostuneille eli erityisesti hyvinvointialueiden ja yliopistosairaaloiden sosiaali- ja terveydenhuollon ammattilaisille ja päätöksentekijöille sekä sivistyssektorilla toimiville ammattilaisille ja järjestökentän asiantuntijoille – niille, joiden toivomme perehtyvän Kasvun tuen menetelmäarvioihin.
Arvioinnin periaatteet
Kasvun tuen menetelmäarviointi perustuu arvioitavasta menetelmästä tehtyyn tutkimukseen ja sen luotettavuuteen, eli arviointia ohjaa näyttöön perustuvuus. Muita ohjaavia periaatteita ovat systemaattisuus, sensitiivisyys, riippumattomuus, luotettavuus ja avoimuus.
1 Mielenterveyttä edistävät psykososiaaliset menetelmät
Lasten ja nuorten psykososiaalinen tuki, perustason terapeuttiset interventiot eli lyhyet hoitavat menetelmät, lyhytpsykoterapiat ja kuntouttava psykoterapia muodostavat toisiaan täydentävän jatkumon. Tavoitteena on siirtää mielenterveyspalveluiden painopiste erikoistuneista psykiatrisista hoidoista lasten ja nuorten toimintakyvyn tukemiseen arjessa. Laadun ja resurssien riittävyyden perustana on hoidon vaikuttavuus. (Kouvonen ym. 2023, s. 1). Strukturoidut psykososiaalisen hoidon ja tuen menetelmät, joilla on vaikuttavuusnäyttöä, ovat olennainen osa lasten ja nuorten mielenterveyspalveluja perusterveydenhuollossa (HE 131/2024 vp). Nämä menetelmät soveltuvat niin mielenterveyshäiriöiden ehkäisyyn kuin lievien ja keskivaikeiden mielenterveysongelmien hoitoon.
Vaikuttavuutta tutkittaessa tutkimuskysymys muotoillaan noudattaen PICO-periaatetta (Malmivaara & Komulainen, 2014), jossa P tarkoittaa kohderyhmää (population), I tutkittavaa menetelmää (intervention), C vertailumenetelmää (comparison) ja O vastemuuttujaa (outcomes). Seuraavaksi nämä PICO-periaatteen mukaiset tekijät avataan tarkemmin.
1.1 Kohderyhmä
Lapsille, nuorille ja perheille kohdistettujen psykososiaalisten menetelmien tavoitteena on edistää lasten ja nuorten suotuisaa kasvuaan ja kehitystä sekä hoitaa mielenterveyden ongelmia ja häiriöitä varhaisessa vaiheessa. Psykososiaaliset menetelmät kohdennetaan usein tarkasti tietylle ikäryhmälle, kuten vauvoille, leikki-ikäisille, alakouluikäisille, nuorille, vanhemmille tai perheille. Menetelmien tulee siis olla kehityssensitiivisiä eli niiden tulee huomioida lapsen ja nuoren kehitystaso sekä kasvu- ja toimintaympäristö. Kehityssensitiivisyys varmistaa, että käytetyt tekniikat ja lähestymistavat soveltuvat juuri kyseisen ikäryhmän tarpeisiin ja edistävät lapsen tai nuoren kehitystä parhaalla mahdollisella tavalla.
Psykososiaalisia menetelmiä toteutetaan lasten ja nuorten erilaisissa kasvuympäristöissä, jotka voidaan jakaa esimerkiksi
- kuntien sivistyspalveluihin (varhaiskasvatus, esiopetus, koulu, nuorisotyö)
- terveydenhuollon eri palveluihin (perusterveydenhuolto ja erikoissairaanhoito)
- sosiaalihuollon palveluihin (lastensuojelu, lapsiperhesosiaalityö vammaispalvelu ja kehitysvammaisten palvelut, sosiaalityö, maahanmuutto- ja turvapaikanhakupalvelut)
- sosiaali- ja terveydenhuollon palveluihin (perhekeskus ja perheneuvola, kuntoutuspalvelut)
- muihin palveluihin (järjestötoiminta, seurakunta, tutkimuskekukset ja harrastustoiminta).
1.2 Psykososiaaliset menetelmät
Duodecimin terveyskirjaston mukaan psykososiaalinen (psychosocial) tarkoittaa sekä psyykkisiin että sosiaalisiin tekijöihin liittyvää. Psykososiaalinen tekijä on sosiaalisen ympäristön muokkaama ja yksilön itsensä kokema tai tulkitsema psykologinen vaikutin (Haukkala, 2011, s. 142).
Psykososiaalisten menetelmien voidaan sanoa olevan erilaisia toimia, joilla
- edistetään mielenterveyttä ja toimintakykyä
- ehkäistään mielenterveysongelmia
- hoidetaan mielenterveysongelmia
- kuntoutetaan sopeutumaan vallitseviin olosuhteisiin.
Psykososiaaliset menetelmät huomioivat sekä yksilöön että sosiaaliseen ympäristöön liittyvät tekijät. Tässä oppaassa termillä psykososiaalinen menetelmä (psychosocial method) tarkoitetaan sekä sosiaalihuollon työmenetelmiä että terveydenhuollon hoitomenetelmiä (STM, 2023). Ne ovat monimuotoisia toimia, joilla edistetään asiakkaan terveyttä, toimintakykyä ja hyvinvointia pyrkimällä vaikuttamaan hänen tiedon käsittelyynsä, tunteiden hallintaansa tai käyttäytymiseensä. Psykososiaalinen menetelmä viittaa Kasvun tuessa mielenterveyttä edistäviin
- varhaisen vaiheen hoitoihin (treatment), erityisesti psykososiaalisiin interventioihin
- toimintamalleihin (practise framework, practise models, framework for psychosocial support)
- ohjelmiin (program) (mukaillen IOM, 2015; STM, 2023).
Toisinaan kattokäsitteenä nähdään menetelmän sijaan interventio. Esimerkiksi Martinussen ja Kurki (2021) viittaavat interventiolla menetelmiin, hoitoihin ja ohjelmiin, joiden tavoitteena on edistää hyvää mielenterveyttä tai ehkäistä tai hoitaa mielenterveyden ongelmia tai häiriöitä. Psykososiaaliset menetelmät voivat siis olla osa interventioita tai toisin päin (HE 131/2024 vp).
Käytännössä edellä mainittujen termien käyttö on vakiintumatonta, ja niitä käytetään osittain toistensa synonyymeina. Menetelmän kehittäjällä on vapaus nimetä menetelmänsä haluamallaan tavalla. Kasvun tuessa termikirjoa on pyritty ymmärtämään määrittelemällä kenttää, jolle Kasvun tuen arviointi osuu (kuvio 1.1).

Kuvio 1.1. Kasvun tuessa arvioitavat psykososiaaliset menetelmät (mukailtu lähteestä Aalto-Setälä ym., 2020, s. 21).
Interventiot
Sosiaali- ja terveysministeriön eduskunnalle valmistelemassa muistiossa (STM, 2023) interventiolla tarkoitetaan sosiaali- ja terveydenhuollossa väliintuloa tai toimenpidettä, jolla pyritään vaikuttamaan yksilön tai ryhmän terveydentilaan, hyvinvointiin tai käyttäytymiseen. Interventiot ovat tavoitteellisia, suunnitelmallisia ja rakenteellisia toimenpiteitä. Ne voivat olla lyhyt- tai pitkäkestoisia sekä yksilö- tai ryhmämuotoisia, ja niitä sovelletaan usein osana hoitoprosessia. Midgley (2020, s. 113) on määritellyt intervention tarkoittavan ihmisen toteuttamaa muutokseen tähtäävää tarkoituksenmukaista toimintaa. Kehittämiskomitea1 on määritellyt psykososiaaliset interventiot seuraavasti:
”Psychosocial interventions for mental health and substance use disorders as interpersonal or informational activities, techniques, or strategies that target biological, behavioral, cognitive, emotional, interpersonal, social, or environmental factors with the aim of reducing symptoms of these disorders and improving functioning or well-being” (IOM, 2015).
[1] Committee on Developing Evidence-Based Standards for Psychosocial Interventions for Mental Disorders.
Toimintamallit
Toimintamalli on viitekehys tai toimintatapa, joka ohjaa psykososiaalisen tuen ja hoidon toteuttamista tietyssä organisaatiossa tai palveluissa. Se tarjoaa rakenteen, joka jäsentää toimintaa ja auttaa ymmärtämään, kuinka psykologiset, sosiaaliset ja fyysiset tekijät vaikuttavat toisiinsa. Toimintamallin avulla organisaatio tai palvelujärjestelmä voi määritellä selkeät tavoitteet, toimintaperiaatteet, menetelmät sekä arviointitavat, jotka tukevat toiminnan tehokkuutta ja tavoitteiden saavuttamista.
Psykososiaalisissa toimintamalleissa vaikuttavuutta pyritään lisäämään sitomalla malli kiinteäksi osaksi toimintaa. On tärkeää, että toimintamalli perustuu vahvaan teoreettiseen viitekehykseen, joka ohjaa asiakastyötä ja määrittelee tarvittavat taidot ja työvälineet. Tämä auttaa varmistamaan, että toiminta on johdonmukaista ja perusteltua, mikä puolestaan tukee tulosten luotettavuutta ja laadun varmistamista (Baginsky ym., 2021).
Psykososiaalisten menetelmien monitahoisuus
Psykososiaalisten menetelmien monitahoisuus tarkoittaa sitä, että menetelmät vaikuttavat useisiin eri ilmiöihin samanaikaisesti. Esimerkiksi menetelmä voi keskittyä ensisijaisesti lasten turvallisten kasvuolosuhteiden parantamiseen mutta myös lisätä lasten hyvinvointia ja pärjäävyyttä. Lisäksi menetelmiä voidaan muokata, ja niiden vaikutukset voivat vaihdella käyttöympäristön mukaan (Skivington ym., 2021).
Monitahoisuuden lisäksi psykososiaaliset menetelmät ovat kompleksisia, sillä niiden tulee olla hyväksyttäviä lasten, nuorten ja perheiden näkökulmasta, mutta myös käytännöllisiä ammattilaisille sekä toimivia esihenkilöiden, organisaatioiden ja palvelujärjestelmän kannalta. Lisäksi niiden tulee olla kustannustehokkaita ja teoreettisesti perusteltuja.
Vaikka hyvä psykososiaalinen menetelmä on monen ominaisuuden kokonaisuus, yksi tärkeimmistä ominaisuuksista on vaikuttavuus. Psykososiaalisten menetelmien tavoitteena on vaikuttaa lasten, nuorten ja perheiden mielenterveyteen ja psykososiaaliseen hyvinvointiin. Vaikka työntekijän näkökulmasta menetelmän käytettävyys on niin ikään tärkeää, menetelmän vaikuttavuus voi näkyä myös hänen työssään esimerkiksi asiakkaiden kuntoutumisena, resurssien järkevänä käyttönä, ajan säästymisenä ja kustannushyötyinä.
1.3 Vertailumenetelmät
Vertailumenetelmät ovat keskeinen osa psykososiaalisten menetelmien vaikuttavuuden tutkimista, sillä ne tarjoavat vertailupohjan arvioitavan menetelmän vaikutuksille. Tyypillisimmät vertailumenetelmät ovat tavanomainen hoito ja psykoedukaatio (Steele ym., 2020). Vertailumenetelmä voi olla myös toinen psykososiaalinen menetelmä, jonka vaikuttavuus on jo tutkittu.
Tavanomainen hoito (treatment-as-usual, TAU) tarkoittaa hoitoa tai tukimuotoa, jota asiakkaat saisivat ilman menetelmää. Tavanomainen hoito tarjoaa realistisen vertailukohdan, sillä se edustaa olemassa olevaa hoitokäytäntöä ja auttaa arvioimaan, tuottaako menetelmä merkittävää lisähyötyä. Tavanomaista hoitoa pidetään luotettavampana vertailumenetelmänä kuin jonotuslistaa (wait-list comparison), jossa asiakkaat saavat menetelmän myöhemmin vuorollansa (Cuijpers, ym., 2024).
Psykoedukaatio keskittyy lisäämään tietoa ja ymmärrystä esimerkiksi mielenterveysongelmista, käyttäytymisen muutoksista tai perhedynamiikasta. Psykoedukaatio voi olla yksinään hoitomuoto tai menetelmää täydentävä osa. Kun psykoedukaatiota käytetään vertailuryhmänä, voidaan selvittää, onko menetelmä, johon sisältyy aktiivisia harjoitteita tai terapeuttisia tekniikoita, tehokkaampi kuin pelkkä tiedon jakaminen.
Näiden vertailumenetelmien avulla saadaan selkeä käsitys siitä, missä määrin psykososiaalinen menetelmä parantaa asiakkaiden hyvinvointia verrattuna perinteisiin hoitomuotoihin.
1.4 Vastemuuttujat
Vastemuuttujat ovat mittareita tai tuloksia, joiden avulla menetelmän vaikutusta arvioidaan (Gochman, 1997). Vaikka ne voivat vaihdella tutkimuksen tavoitteiden mukaan, ne ovat keskeisiä arvioitaessa, onko menetelmä tuottanut toivottuja muutoksia. Vastemuuttujien tulisi aina juontua menetelmän tavoitteista ja ydinelementeistä.
Yleisesti voidaan todeta, että mielenterveyttä edistävät ensisijaiset vastemuuttujat ja toissijaiset vastemuuttujat liittyvät johonkin seuraavista:
- mielenterveyden ja toimintakyvyn edistäminen (primaarinen ehkäisy, terveyden tuottaminen)
- mielenterveysongelmien ehkäiseminen (sekundaarinen ehkäisy, sairauden ehkäiseminen)
- mielenterveysongelmien hoitaminen (tertiaarinen ehkäisy, tilan pahentumisen estäminen)
- kuntouttaminen (olosuhteisiin sopeutuminen).
1.5 Lasten, nuorten ja perheiden menetelmien käyttöönotto
Jotta näyttöön perustuva menetelmä voi lunastaa sille asetetut tavoitteet ja tuottaa tutkimuksissa todetun hyödyn lapsille, nuorille ja perheille, tulee menetelmä implementoida huolellisesti. Menetelmien implementoinnilla eli käyttöönotolla2 tarkoitetaan suunnitelmallista ja tavoitteellista prosessia, joka takaa, että näyttöön perustuva menetelmä juurtuu osaksi menetelmää toteuttavan tahon käyttökontekstia (Fixsen ym., 2005; Kouvonen ym., 2023). Kuviossa 1.2 on esitetty neljän eri lopputuloksen todennäköisyys menetelmän tuottamalle hyödylle kohderyhmässä. Nelikentässä on esitetty menetelmän ja implementoinnin lopputulokset. Suurin todennäköisyys saavuttaa toivotut tulokset kohderyhmässä on, kun menetelmän vaikuttavuus on tutkimusten avulla todettu ja implementointi on tutkimusperustaista.
[2] Implementoinnista tarkemmin Itlan julkaisemassa implementointioppaassa (Kouvonen ym., 2023).

Kuvio 1.2. Menetelmän implementoinnin erilaiset lopputulokset.
2 Näyttöön perustuvat psykososiaaliset menetelmät
2.1 Näyttö ja näyttöön perustuvuus
Lääketieteessä tutkimusnäyttö on ohjannut toimintaa keskeisesti monen vuosikymmenen ajan (Sackett ym., 1996). Sosiaalipalvelujen puolella näyttöön perustuva lähestymistapa on uudempi (Kazdin, 2008)3. On tärkeää erottaa toisistaan termit
- näyttöön perustuva menetelmä4 (evidence-based intervention)
- näyttöön perustuva toiminta (evidence-based practice, EBP)
- näytön ohjaama toiminta (evidence-informed practise, EIP)
- hyvät käytännöt (best practises, practise-based evidence).
[3] Suomen laissa näyttöön perustuvasta toiminnasta on säädetty seuraavasti: Terveydenhuoltolain (1326/2010) mukaan terveydenhuollon toiminnan on perustuttava näyttöön ja hyviin hoito- ja toimintakäytäntöihin. Sosiaalihuoltolain (1301/2014) mukaan sosiaalityön toteutumista ja vaikuttavuutta on seurattava, mutta vaikuttavuuden mittaamista tai seuraamistapoja ei ole tarkemmin määritelty.
[4] Myös puhekielessä esimerkiksi vaikuttava menetelmä, vaikuttavaksi arvioitu menetelmä, tutkitusti vaikuttava, tutkitusti vaikuttavaksi todettu, tutkimuksella vaikuttavaksi todettu.
Näyttöön perustuvat menetelmät ovat tutkimuksilla vaikuttavaksi osoitettuja menetelmiä, eli toisin sanoen menetelmän vaikuttavuudesta on tutkimusnäyttöä (esim. STM, 2009). Näyttöön perustuva menetelmä on näyttöön perustuvan toiminnan yksi tukijalka (kuvio 2.1). Näyttöön perustuvassa toiminnassa menetelmän tutkimusnäyttö yhdistyy asiakkaan ja potilaan eli menetelmän saajan toiveisiin ja tarpeisiin sekä menetelmää toteuttavan työntekijän ammattitaitoon ja kokemukseen perustuvaan tietoon (American Psychological Association, 2005; Sackett ym., 1996).

Kuvio 2.1. Näyttöön perustuvan toiminnan kolme osa-aluetta: 1) asiakkaan toiveet ja tarpeet, 2) työntekijän ammattitaito ja kokemus sekä 3) menetelmän tutkimusnäyttö.
Näyttöön perustuvan toiminnan juuret ovat lääketieteessä. Näytön ohjaama toiminta -termin katsotaan soveltuvan paremmin sosiaali- ja terveydenhuollossa tapahtuvaan päätöksentekoon, jossa tutkimusnäytön lisäksi tarvitaan muutakin tietoa. (Jylhä ym. 2019, s. 8–9; Kumah ym., 2022) Termejä käytetään osittain synonyymeinä ilman, että termien väliset erot ja samankaltaisuudet olisi kuvattu. Näyttöön perustuvan toiminnan termiä on kritisoitu sen rajoittuneisuuden ja lääketieteellisen taustansa vuoksi. Kritisoijien mielestä näytön ohjaama toiminta -termi huomioi laajemmin muunlaisen tiedon kuin vain tutkimustiedon käytön. (Jylhä ym. 2019, s. 8–9.)
Hyvillä käytännöillä ei ole yleisesti hyväksyttyä määritelmää. Niiden avulla pyritään vaikuttavuuteen käytännönläheisesti (practise-based) (esim. Ng & de Colombani, 2015).
2.2 Näytön tutkiminen
Mielenterveyttä edistäviä psykososiaalisia menetelmiä on mahdollista tutkia monesta eri näkökulmasta. Mikään tutkimustyyppi ei vastaa kaikkiin kysymyksiin kerralla, vaan menetelmää on tutkittava useista eri näkökulmista käyttämällä eri tutkimuskysymyksiä.
Vaikuttavuuden lisäksi voidaan tutkia esimerkiksi menetelmän käyttöönottoa, soveltuvuutta käyttöympäristöön (toteutettavuus), menetelmän pysymistä sellaisena kuin se on tarkoitettu (toistotarkkuus) ja käyttäjien tyytyväisyyttä menetelmään. Kaikki edellä kuvatut ovat esimerkkejä implementointitutkimuksista. Lisäksi voidaan tutkia, onko menetelmä taloudellisesti ja resurssien käytöltään tehokas (kustannusvaikuttavuustutkimus). Näitä erilaisia psykososiaalisten menetelmien tutkimustyyppejä on kuvattu sanallisesti tarkemmin seuraavissa alaluvuissa. On olemassa myös muunlaisia tutkimuksia, joiden avulla psykososiaalisia menetelmiä voidaan tutkina. Näitä tutkimustyyppejä ei käsitellä tarkemmin tässä oppaassa.
Vaikuttavuustutkimukset
Interventiotutkimukset5 (interventional study) – myös nimellä kliiniset tutkimukset(clinical trials) – ovat tutkimustyyppi, jossa tutkittavan koskemattomuuteen puututaan tutkimuksellisista syistä (esim. Aggarwal & Ranganathan, 2019). Psykososiaalisten menetelmien osalta tällä tarkoitetaan menetelmän käyttöä ja sen tuottaman lisäarvon tutkimista koe- ja vertailuryhmien välillä. Näistä tutkimuksista puhutaan vaikuttavuustutkimuksina.
[5] Terminä interventiotutkimus on vakiintunut, joten käytämme sitä tässä arviointioppaassa, vaikka muutoin puhummekin interventioiden sijaan menetelmistä.
Vaikuttavuustutkimuksien (efficacy study tai effectiveness study) tavoitteena on osoittaa, että koeryhmässä havaittu vaikutus (effect) johtuu yksinomaan tutkittavasta menetelmästä verrattuna vertailuryhmään – tällöin puhutaan vaikuttavuudesta. Vaikuttavuus määritellään eri tavoin eri tieteenaloilla, ja sillä ei ole yleisesti hyväksyttyä määritelmää. Määritelmistä nousevat tyypillisesti esiin
- tavoitteellisuus
- lisäarvo, muutos ja hyöty
- vaihtoehto, vertailu tavalliseen toimintaan tai vertailuryhmään.
Malmivaara (2022) on määritellyt vaikuttavuuden seuraavalla tavalla:
”Asiakkaan – – hyvinvoinnin muutos, joka johtuu [psykososiaalisen menetelmän] vaikuttavuudesta. Edellyttää vertailuryhmää ja arviointiasetelmaa, jolla tilan luonnollisen paranemistaipumuksen sekä asiakkaan – – käyttäytymiseen ja ympäristöön liittyvien tekijöiden vaikutus kyetään sulkemaan pois [psykososiaalisen menetelmän] tuottamasta vaikuttavuudesta.”
Vaikuttavuus on eri asia kuin tuloksellisuus. Tuloksellisuudesta on kysymys silloin, kun menetelmää ei vertailla. Malmivaara (2022) on määritellyt tuloksellisuuden seuraavasti:
”Asiakkaan – – hyvinvoinnin muutos arvioituna ennen ja jälkeen [psykososiaalisten menetelmien] tapahtuvana muutoksena. Muutos kuvaa tilan luonnollisen paranemistaipumuksen sekä asiakkaan – – käyttäytymiseen ja ympäristöön liittyviä tekijöitä sekä [psykososiaalisen menetelmän] vaikuttavuutta.”
Luotettavin menetelmän vaikuttavuutta (efficacy)6 – myös tehoa tai tehokkuutta – tarkasteleva kokeellinen tutkimusasetelma suunnitelluissa ihanneoloissa (ideal study conditions) eli tutkimusolosuhteissa on satunnaistettu vertailukoe (randomized controlled trial, RCT7) (Hariton & Locascio, 2018; Porzsolt ym., 2015). Satunnaistetussa vertailukokeessa osallistujat jaetaan satunnaisesti eli arvotaan kahteen tai useampaan koe- ja vertailuryhmään. Ryhmien satunnaistamisella varmistetaan, että ryhmät ovat mahdollisimman samankaltaiset kokeen alussa ja että mahdollisten eroavaisuuksien ryhmien välillä – ei pelkästään ryhmän sisällä – voidaan olettaa johtuvan tutkittavasta menetelmästä (ks. Hinkka-Yli-Salomäki, 2021). Satunnaistamisella pyritään hallitsemaan monimutkaista tilannetta ja täten mahdollistamaan se, että osallistujat käyttäytyisivät ryhmissä tutkittavaa menetelmää lukuun ottamatta samalla tavalla.
Satunnaistettujen vertailukokeiden tekeminen vaatii paljon resursseja. Joskus niiden toteuttaminen ei ole mahdollista käytännöllisistä tai eettisistä syistä, eikä se ole aina tarpeellistakaan. Tällöin ryhmien väliseen vertailuun voidaan käyttää havainnoivia kvasikokeellisia tutkimusasetelmia (quasi-experimental design)8, joissa mukana voi olla satunnaistamattomia vertailuryhmiä tai ei vertailuryhmiä lainkaan, kuten esimerkiksi yhden koeryhmän ennen–jälkeen-tutkimusasetelmassa. Esimerkiksi rekisteritutkimuksissa käytetään jo olemassa olevaa rekistereihin tallennettua tietoa, jolloin tutkittavia ryhmiä ei voi muodostaa kokeellisen asetelman mukaisesti. Kvasikokeellisia tutkimusasetelmia käytettäessä menetelmän sisäinen validiteetti usein heikentyy eli harhan riski kasvaa. Toisin sanoen enää ei voida olla täysin varmoja siitä, että havaitun vaikutuksen tuotti menetelmä eivätkä muut tutkittaviin liittyvät tekijät. Tulokset antavat enemmän tietoa menetelmän mahdollisista vaikutuksista siihen verrattuna, että vaikuttavuustutkimuksia ei ole tehty lainkaan.
[6] Interventiotutkimuksen termi vaikuttavuus (efficacy ja effectiveness) on suomen kielessä vastaava kuin vaikuttavuusketjun (panos–tuotos–vaikutus–vaikuttavuus-metodi, -menetelmä tai -malli [input-output-outcome-impact], lyhenne iooi) (esim. Heliskoski ym., 2018; Riess, 2010) termi vaikuttavuus (impact).
[7] Satunnaistetusta ihmisiä koskevasta tutkimuksesta voidaan käyttää myös termiä randomized clinical trial (tai randomized controlled clinical trial).
[8] Kvasikokeellisia tutkimusmenetelmiä vaikuttavuuden arvioimiseksi ovat esimerkiksi regressioepäjatkuvuusmenetelmä (regression discontinuity design), erotusten erotus -menetelmä (differences in difference) ja instrumenttimuuttujamenetelmä (instrumental variables) (Silventoinen & Latvala, 2024
Vaikuttavuutta (effectiveness) voidaan tutkia myös käytännön kliinisen kokeen avulla (pragmatic controlled trial, PCT) (Porzsolt ym., 2015). Efficacy– ja effectiveness-vaikuttavuutta on mahdotonta tutkia samanaikaisesti. Satunnaistetun vertailukokeen avulla on mahdollista kuvata, mitä menetelmän vaikutuksia voidaan odottaa, käytännön kliinisillä kokeilla puolestaan, mitä vaikutuksia havaitaan. (Porzsolt ym., 2015) Valitettavasti termien efficacy study ja effectiveness study erot ovat heikosti tunnettuja (Signal ym., 2014). Kuviossa 2.2 on pyritty havainnollistamaan efficacy– ja effectiveness-vaikuttavuustutkimusten eroavaisuuksia. Sen sijaan, että vaikuttavuus olisi jompaakumpaa ääripäätä, se voi olla jotain näiden kahden ääripään välistä (Patsopoulos, 2011).

Kuvio 2.2. Vaikuttavuuden jatkumo selittävien ja käytännön kokeiden välissä (muokattu Patsopoulos, 2011).
Edellä mainittujen efficacy– ja effectiveness-vaikuttavuustermien lisäksi professori Malmivaara (2022, s. 18) on määritellyt termin arkivaikuttavuus (real-world effectiveness). Arkivaikuttavuus on asiakkaan sosiaali- ja terveydenhuollon arjessa havaittava hyvinvoinnin muutos, joka johtuu menetelmän vaikuttavuudesta. Hänen mukaansa vaikuttavuus on sateenvarjotermi, joka kattaa sekä kokeellisen vaikuttavuuden (efficacy ja effectiveness) että arkivaikuttavuuden (Malmivaara, 2022, s. 30). Arkivaikuttavuuden tutkimiseksi käytetään havainnoivia ei-kokeellisia vertaiskontrolloituja tutkimuksia (benchmarking controlled trial, BCT), joita ovat esimerkiksi kohorttiasetelmalla tehdyt tutkimukset. (Malmivaara, 2022.) Sana vertaiskontrolloitu perustuu tutkimusasetelmaan: kun ei voida arpoa tutkittavia vertailukelpoisiksi, ryhmät tulee valita niin, että ne olisivat mahdollisimman vertailukelpoisia pelkkää havainnointia käyttäen. Ryhmien väliset alkutilanteen erot vakioidaan tilastotieteellisesti. Arkivaikuttavuuden arvioinnin edellytyksenä on riittävä tieto asiakkaista, käytetyistä menetelmistä ja aikaan saaduista tuloksista. Tätä tietoa voidaan saada laaturekistereistä ja niitä vastaavan tiedon keruun avulla. Vertaiskontrolloidut kokeet täydentävät satunnaistettuja vertailukokeita ja pystyvät vastaamaan sosiaali- ja terveydenhuoltojärjestelmän vaikuttavuuden kannalta olennaiseen kysymykseen: missä ja millä keinoin kyetään tuottamaan parasta lisäarvoa asiakkaille ja potilaille. Ja miten vaikuttavuutta voidaan jatkuvasti lisätä.
Ennen varsinaista vaikuttavuustutkimusta edeltää usein pilottitutkimus (pilot study). Pilottitutkimuksella testataan tutkimuksen toteutettavuutta. Tutkimuksen avulla voidaan saada käsitys myös mitattavan ilmiön esiintyvyydestä, jos sitä ei muuten vielä tunneta; tietoa tarvitaan tilastollisten voimalaskelmien tekemiseksi. (NIH, 2024.)
Kun vaikuttavuustutkimuksia on useita ja ei ole järkevää tehdä enää uusia vaikuttavuustutkimuksia, vaikuttavuustutkimusten tulokset ja tieto voidaan systemaattisesti syntetisoida ja jopa yhdistää tulokset. Tällöin puhutaan vaikuttavuustutkimuksista tehdyistä systemaattisista kirjallisuuskatsauksista ja meta-analyyseistä.
Systemaattiset kirjallisuuskatsaukset
Systemaattinen kirjallisuuskatsaus (systematic review) on tutkimusmenetelmä, jossa tutkimukseen perustuva tieto kerätään yhteen järjestelmällisesti ja läpinäkyvästi ja yhteen kootusta tiedosta tehdään johtopäätökset. Tavoitteena on koota kaikki saatavilla oleva tieto tietystä, selkeästi määritellystä aiheesta (Grant & Booth, 2009). Systemaattiset kirjallisuuskatsaukset määritellään seuraavasti (Higgins ym., 2019):
- Niillä on selkeä tavoitteidenasettelu ja ennalta määrätyt kriteerit, joiden mukaan tutkimukset valikoituvat.
- Ne käyttävät täsmällisiä ja toistettavia menetelmiä.
- Ne pohjautuvat systemaattisiin kirjallisuushakuihin, joiden tavoitteena on tunnistaa kaikki mukaanottokriteerit täyttävät tutkimukset.
- Ne sisältävät arvion mukaan otettujen tutkimusten tulosten merkittävyydestä.
- Ne sisältävät systemaattisen tiivistelmän mukaan otettujen tutkimusten tuloksista.
Systemaattiset kirjallisuuskatsaukset vastaavat tarkasti määriteltyihin tutkimuskysymyksiin, kuten voidaanko tietyllä menetelmällä vähentää tiettyä oireilua tai häiriötä tavallisiin tukitoimiin verrattuna. Esimerkki tarkasti määritellystä tutkimuskysymyksestä: onko lapsille suunnatuilla psykososiaalisilla menetelmillä mahdollista vähentää niiden lasten riskiä sairastua psyykkisesti, joiden vanhemmat sairastavat masennusta (Loechner ym., 2018)?
Systemaattisessa kirjallisuushaussa määritellään hakusanat ja hakulausekkeet. Systemaattisen kirjallisuushaun eri vaiheet kuvataan yleensä PRISMA-vuokaaviolla (Page ym., 2021). Ennen katsauksen tekoa mukaan otettaville tutkimuksille määritellään mukaanotto- ja poissulkukriteerit. Kaikki vaiheet kirjataan katsaukseen läpinäkyvästi, jotta muut tutkijat voivat toistaa katsauksen tarvittaessa (Grant & Booth, 2009).
Kirjallisuushaussa käytetyt viitetietokannat vaihtelevat aloittain. Monialaisia tietokantoja ovat muun muassa MEDLINE, PsycINFO, Scopus ja Web of Science. Alustat, kuten Ovid, EBSCO ja PubMed, tarjoavat käyttöliittymän ja työkalut tiedon hakemiseen. Tietokannoissa tehdyn systemaattisen kirjallisuushaun lisäksi käydään usein läpi niin sanottua harmaata kirjallisuutta, jota ei ole tarkoitettu laajaan jakeluun. Esimerkkejä harmaasta kirjallisuudesta ovat konferenssijulkaisut ja väitöskirjojen yhteenveto-osat. Myös manuaalisen haun avulla, kuten käymällä läpi tärkeimpien artikkelien lähdeluetteloita, voi löytää systemaattisen haun ulkopuolelle jäänyttä kirjallisuutta.
Systemaattiset kirjallisuuskatsaukset ovat kirjallisuuskatsaustyypeistä tunnetuin. Muita katsaustyyppejä ovat esimerkiksi kuvailevat katsaukset, kuten nopeat katsaukset (rapid review, myös pikakatsaus), scoping-katsaukset (scoping review) ja kartoittavat katsaukset (mapping review) (Grant & Booth, 2009; Sutton ym., 2019). Kuvailevissa katsauksissa kirjallisuushaku on suppeampi ja täten nopeampi kuin systemaattisissa hauissa. Viitteiden läpikäynti on kuvailevissa katsauksissa myös systemaattista. Nopean katsauksen menetelmiä voivat olla esimerkiksi katsauksista tehty katsaus tai laajempien hakustrategioiden käyttö (Grant & Booth, 2009). Nopeissa katsauksissa harhan mahdollisuus kasvaa.
Kuviossa 2.3 on esitetty systemaattisen ja suppean kirjallisuushaun hakuosumien havainnollistava suhde tutkimuskysymyksen kannalta olennaiseen tutkimuskirjallisuuden määrään. Suppea haku tavoittaa vain osan olennaisesta kirjallisuudesta. Haku on systemaattista kirjallisuushakua tarkempi, sillä olennaisen ja epäolennaisen kirjallisuuden suhde on suurempi. Olennaisen tutkimuskirjallisuuden osuus on kuitenkin pienempi kuin systemaattisella kirjallisuushaulla löydetty.

Kuvio 2.3. Systemaattisen ja suppean kirjallisuushaun havainnollistava suhde olennaiseen tutkimuskirjallisuuteen esimerkinomaisesti (kuvio muokattu Tampereen yliopiston kirjasto, 2024).
Meta-analyysit
Meta-analyysit (meta-analysis) ovat laadullisten systemaattisten kirjallisuuskatsausten määrällinen jatke (Deeks ym., 2019). Meta-analyysissa kootaan yhteen samaa tarkkaa tutkimuskysymystä käsitteleviä tutkimuksia, joiden tulosten pohjalta tehdään uusi tilastollinen analyysi. Täten meta-analyysin aineisto on ikään kuin aineistoista koostuva aineisto; havaintoyksikkönä ovat tutkimukset – tutkittavien henkilöiden sijasta. Meta-analyysi vastaa vain täsmälliseen tutkimuskysymykseen. Koska käytössä on useiden eri tutkimusten aineistot, meta-analyysissa tilastollinen voima ja tutkimustulosten luotettavuus ovat yksittäistä tutkimusta suurempia. Meta-analyyseissa yhdistetään saman tyyppisiä tutkimuksia, esimerkiksi vaikuttavuus- tai implementointitutkimuksia. Meta-analyysit sopivat tilanteisiin, joissa tutkimuksissa saatu tieto on ristiriitaista, tutkimusten otoskoot eivät ole yksin riittävät tai ei kannata tai ei voida tehdä uutta laajempaa tutkimusta. (Esim. Cuijpers, 2016; Nummenmaa, 2021, s. 553–580.)
Implementointitutkimukset
Tutkimukset, joissa selvitetään menetelmän soveltamista käytännön olosuhteisiin, ovat implementointitutkimuksia (implementation study). Implementointitutkimus voi keskittyä implementointiin vaikuttaviin tekijöihin, itse implementointiprosessiin tai implementoinnin tuloksiin (Peters ym., 2013). Implementointia vauhdittavia eli edistäviä tekijöitä ovat muun muassa henkilöstön osaaminen ja riittävä kouluttautuminen menetelmän käyttöön. Organisaation ja johdon tasolla implementointia vauhdittavat esimerkiksi riittävä aika ja resurssit menetelmän käyttöönottoon sekä riittävä organisaation tarjoama seuranta ja tuki (Fixsen ym., 2005; Francke ym., 2008). Implementoinnin tuloksia tarkasteltaessa selvitetään, onko menetelmä otettu käyttöön siten, että sen halutut vaikutukset on mahdollista saavuttaa (Meyers ym., 2012). Implementointitutkimuksissa on mahdollista käyttää monenlaisia tutkimusasetelmia tutkimuskysymyksen mukaan. Implementointitutkimus voi sisältää myös selvityksiä siitä, toteuttiko palveluntarjoaja menetelmää suunnitellusti (puhutaan fideliteetistä eli menetelmäuskollisuudesta), osallistuivatko menetelmän saajat siihen aktiivisesti (esim. keskeyttäneiden osuus) tai olivatko osallistujat tyytyväisiä menetelmään ja sen toteutukseen.
Proctor kollegoineen (2011) on jaotellut implementoinnin vastemuuttujat kolmeen luokkaan:
1) implementoinnin vastemuuttujiin (implementation outcomes)
• hyväksyttävyys (acceptability)9
• käyttöönotto (adoption)
• tarkoituksenmukaisuus, sopivuus (approprioteness)
• implementointikustannukset (implementation costs)
• toteutettavuus (feasibility)10
• menetelmäuskollisuus, toistotarkkuus (fidelity)11
• läpäisevyys (penetration, coverage)
• tulosten pysyvyys (sustainability)
2) palvelujärjestelmän vastemuuttujiin (service outcomes)
• tehokuus (efficiency)
• vaikuttavuus (effectiveness)
• yhdenvertaisuus (equity)
• asiakaslähtöisyys (patient-centeredness)
• turvallisuus (safety)
• oikea-aikaisuus (timeliness)
3) asiakkaan ja potilaan vastemuuttujiin (client outcomes)
• toimivuus (function)
• tyytyväisyys (satisfaction)12
• oireisuus (symptomatology).
[9] Kuvaa, onko menetelmä käyttäjien ja kohderyhmän näkökulmasta motivoiva, helposti lähestyttävä tai vastaan otettava ja omia arvoja ja kulttuuria vastaava. Tieto menetelmän vaikuttavuudesta lisää hyväksyttävyyttä. (Seilo ym., 2024.)
[10] Kuvaa edellytyksiä käyttää ja levittää menetelmää tietyssä toimintaympäristössä (Seilo ym., 2024). Menetelmän toteutettavuutta organisaatiossa tai populaatiossa voidaan selvittää toteutettavuustutkimuksin (feasibility study). Organisaatioon liittyvissä toteutettavuustutkimuksissa voidaan selvittää esimerkiksi, mitä organisaatiolta vaaditaan, jotta menetelmä voidaan ottaa käyttöön (Bowen ym., 2009). Populaatioihin liittyvä toteutettavuustutkimus tarkastelee muun muassa sitä, miten menetelmä toimii muussa ryhmässä kuin siinä, jolle menetelmää on aiemmin tarjottu. Toteutettavuustutkimuksia voidaan tehdä ennen satunnaistettujen vertailukokeiden toteuttamista sen tarkastelemiseksi, onko interventio mahdollisesti toimiva (Bowen ym., 2009).
[11] Menetelmän toteutuminen suunnitellun kaltaisena, kun sitä käytetään luonnollisissa olosuhteissa (Seilo ym., 2024). On tärkeää, että menetelmä pysyy alkuperäisessä muodossaan ydinelementtien osalta, sillä menetelmän vaikuttavuus kärsii, jos sitä ei tarjota suunnitellulla tavalla (esim. Hukkelberg & Ogden, 2013). Toistotarkkuustutkimusten avulla selvitetään, miten hyvin menetelmä pysyy suunnitellussa muodossa, kun sitä käytetään käytännön olosuhteissa. Useissa tutkimuksissa on osoitettu, että lapsille ja perheille tarjottavat menetelmät muuntuvat menetelmää toteuttavien tahojen käytössä (Durlak & DuPre, 2008; Ringwalt ym., 2003).
[12] Menetelmän vaikuttavuuden tutkimisen ohella halutaan usein tietää, kokivatko menetelmän saajat sen auttaneen. Tyytyväisyystutkimuksia (user satisfaction study) voidaan toteuttaa laadullisilla ja määrällisillä lähestymistavoilla, esimerkiksi haastattelujen ja kyselylomakkeiden avulla. Suuri käyttäjätyytyväisyys ei ole osoitus menetelmän vaikuttavuudesta. Monet tutkimukset osoittavat, että käyttäjäkokemus ei ole lainkaan tai on vain heikosti yhteydessä menetelmän vaikuttavuuteen (Garland ym., 2003; Solberg ym., 2015; Turchik ym., 2010).
Kustannusvaikuttavuustutkimukset
Kustannusvaikuttavuustutkimus (cost-effectiveness analysis, CEA) on yksi taloudellisen arvioinnin menetelmä, jossa verrataan vaihtoehtoisten terveystoimenpiteiden (psykososiaalisten menetelmien) kustannuksia ja vaikutuksia. Vaihtoehtoisilla toimenpiteillä pitää olla yksi yhteinen ja täten vertailukelpoinen vaikutus (ns. common effect), jota toimenpiteellä tavoitellaan (Drummond ym., 2005). Vaikutuksia mitataan terveystulosten luonnollisina yksikköinä, esim. kliinisinä tuloksina, elinvuosina, menetelmän tavoitteisiin päässeiden lasten ja nuorten määrissä tai terveyspalvelujen käytön määrässä (Sefton ym., 2002; Westerlund, 2023, s. 4). Analyysin tulos ilmaistaan usein suhdelukuna, jossa osoittaja on terveyteen liittyvä kustannus ja nimittäjä puolestaan mitattu vaikutus. Koska luvut ovat vertailukelpoisia, niitä voidaan verrata toisiinsa ja ratkaista, kumpi vaihtoehtoisista menetelmistä on kustannusvaikuttavampi. Kustannusvaikuttavuusanalyysin ero kustannus-hyötyanalyysiin (cost-benefit analysis, CBA) nähden on se, että jälkimmäisessä hyödyt arvioidaan rahallisesti, ei luonnollisissa yksiköissä (Sefton ym., 2002). Kustannus-utiliteettianalyysi (cost-utility analysis, CUA) on kustannusvaikuttavuusanalyysin erikoistapaus, jossa vaikutukset ilmaistaan tyypillisesti laatupainotettuina elinvuosina (quality-adjusted life year, QALY). Koska QALY on yleinen terveyshyödyn mittari, analyysin avulla on mahdollista vertailla erilaisten interventioiden ja terveysohjelmien vaikutuksia keskenään. Utiliteetti voidaan laajassa mielessä käsittää preferenssinä; mitä preferoidumpi on terveyteen liittyvän intervention tai ohjelman lopputulema (yksilön tai yhteiskunnan näkökulmasta), sitä enemmän utiliteettia se sisältää. (Drummond ym., 2005.)
3 Arviointiprosessi
Näyttöön perustuvan toiminnan yksi keskeinen vaihe on tiedon tiivistäminen näytöksi (evidence synthesis). Siinä noudatetaan tiettyjä tarkasti määriteltyjä vaiheita, joita ovat 1) aihetta koskevien tutkimusten kattava ja systemaattinen haku, 2) tutkimusten laadun ja harhan kriittinen arviointi ja 3) luotettaviksi arvioitujen tulosten tiivistäminen. (Hotus, 2024, Jordan ym. 2019 ja Jylhä ym., 2019 Kouvosen ym., 2023, s. 12 mukaan.) Seuraavaksi kuvataan yksityiskohtaisemmin sekä menetelmien arviointiin mukaanotto että varsinainen arviointiprosessi eli tiedon tiivistäminen näytöksi.
3.1 Arviointiin hyväksyminen ja mukaanottokriteerit
Ennen menetelmän varsinaista arviointia Kasvun tuen asiantuntijat tarkistavat, että menetelmä täyttää arviointiin vaadittavat mukaanottokriteerit. Menetelmää ylläpitävät organisaatiot eli ns. kotipesät13, menetelmää käyttävät organisaatiot, esimerkiksi hyvinvointialueet tai muut toimijat, voivat ehdottaa menetelmän arviointia Kasvun tuen asiantuntijoille, mikäli huomaavat, että menetelmän vaikuttavuutta ei ole Kasvun tuessa arvioitu tai menetelmästä on tehty uutta tutkimusta. (Kuvio 3.1.)
Arviointiin mukaan otettavilta menetelmiltä vaaditaan viiden mukaanottokriteerin täyttyminen. Menetelmällä tulee olla seuraavat ominaisuudet:
1) Tavoite: menetelmä
• edistää lasten tai nuorten mielenterveyttä ja psykososiaalista hyvinvointia tai
• ehkäisee ja hoitaa varhaisessa vaiheessa joko suoraan tai välillisesti lasten ja nuorten mielenterveysongelmia.14
2) Rajattu kohderyhmä: Menetelmän kohderyhmä on rajattu alle 23-vuotiaisiin15 lapsiin ja nuoriin sekä heidän vanhempiinsa ja huoltajiinsa. Menetelmää toteutetaan sosiaali- ja terveydenhuollon palveluissa, varhaiskasvatuksessa ja kouluissa sekä kolmannen sektorin palveluissa.
3) Tieteellinen teoriaperusta: menetelmän vaikutusmekanismit perustuvat yhteen tai useampaan ihmisen käyttäytymistä tai toimintaa selittävään yleisesti hyväksyttyyn teoriaan tai malliin.
4) Koulutus: Menetelmään on saatavilla koulutusta Suomessa tai sitä voidaan tarvittaessa järjestää. Koulutus ja koulutusmateriaali joko suomeksi, ruotsiksi tai englanniksi.16
5) Eettinen arvopohja ja eettisten periaatteiden noudattaminen
• asiakaslähtöisyys
• osallisuus
• voimaannuttavuus ja
• vuorovaikutuksellisuus.
[13] Menetelmän kotipesällä tarkoitetaan menetelmästä riippuen menetelmän kehittäjää, levittäjää, omistajaa tai ylläpitäjää, joka voi olla yksittäinen henkilö, järjestö tai organisaatio.
[14] Tapauksissa, joissa on epäselvää, onko menetelmä ehkäisevä vai hoitava, tulee keskustella Käypä hoito -toimituksen kanssa siitä, kuuluuko menetelmän arviointi Kasvun tuen vai Käyvän hoidon toiminta-alaan. Kuitenkin monet menetelmistä soveltuvat sekä ehkäiseviksi varhaiseen vaiheeseen että hoidollisiksi, jolloin ne täyttävät Kasvun tuen mukaanottokriteerit.
[15] Ikävuosia 18–22 kutsutaan jälkinuoruudeksi (Duodecim Terveyskirjasto, 2021) tai myöhäisnuoruudeksi (THL, 2024). Aivojen kehitys jatkuu läpi nuoruusiän. Aikuisikään asti kehittyvät etenkin aivoalueet, jotka osallistuvat esimerkiksi tunteiden tunnistamiseen, käyttäytymiseen säätelyyn ja vaativampaan oman toiminnan suunnitelmalliseen ohjaukseen (THL, 2024). Myös terapiatakuuesityksen mukaan alle 23-vuotiaille halutaan tarjota pääsy perustason mieleterveyspalveluihin (STM, 2024).
[16] Englannin kieli voi olla implementointia jarruttava tekijä Suomessa.
Kasvun tuen arvioinnin asiantuntijat arvioivat menetelmän mukaanottokriteerien perusteella alustavasti, hyväksytäänkö menetelmä arviointiin. Lopullisen päätöksen arvioitavista menetelmistä tekevät arvioinnin asiantuntijat yhdessä tieteellisen toimituskunnan kanssa. (Kuvio 3.1.) Arvioitavaksi ei oteta diagnostisia arviointimenetelmiä tai mittareita eikä toimintatapoja ja työotteita. Lisäksi kestoltaan rajoittamattomat, hoidolliset, interventiot eivät kuulu arvioinnin piiriin.
Tieteellisessä toimituskunnassa päätetään menetelmien arviointijärjestyksestä. Uusien arvioitavien menetelmien arviointijärjestykseen vaikuttavat
- lasten ja nuorten tarpeet
- ilmiöön ja menetelmään liittyvän poliittisen päätöksenteon ajankohtaisuus
- menetelmän käytön laajuus kentällä
- menetelmän uutuusarvo kohderyhmän tai ilmiön kannalta menetelmäpankin täydentäjänä.
Jos menetelmä on aiemmin arvioitu Kasvun tuessa, se otetaan uudelleen arviointiin päivittämistä varten ilman tieteellisen toimituskunnan erillishyväksyntää. Menetelmän ehdottajalle kerrotaan arviointiin pääsystä, sen lykkääntymisestä tai poissulkukriteereistä. (Kuvio 3.1.)

Kuvio 3.1. Menetelmien arviointiin hyväksyminen.
3.2 Arviointiprosessin kulku
Menetelmän arviointiin hyväksymisen jälkeen Kasvun tuen arvioinnin asiantuntijat ja menetelmää ylläpitävän organisaation edustajat tapaavat ja aloittavat yhteistyön. Arvioinnin asiantuntijat aloittavat systemaattisen kirjallisuushaun tekemisen arvioitavasta menetelmästä. Tutkimusten valinnan jälkeen asiantuntijat etsivät menetelmälle riippumattomia arvioitsijoita ja tarvittaessa kouluttavat arvioitsijoita, jotka aloittavat menetelmäarvioinnin tekemisen. Käytännössä kirjallisuushaut ja arvioitsijoiden etsiminen voivat tapahtua samanaikaisesti. Arviointiprosessin kulku ja vaiheiden toteuttajat on kuvattu kuviossa 3.2. Vaiheet tutkimuskysymyksestä tutkimusten valintaan on avattu tarkemmin tässä luvussa.
Menetelmän arvioinnissa arvioitsijat perehtyvät tarkasti sekä menetelmään että haettuun tutkimuskirjallisuuteen. Menetelmän arvioinnista tarkemmin luvussa 3.3. Arvioinnista kirjoitetaan systemaattinen katsaus, joka kiteytyy menetelmäarvioksi. Menetelmäarviosta lisää luvussa 4. Vaiheet sekä arvioitsijoiden koulutuksesta että katsauksen kirjoittamisesta julkaisemiseen on avattu oppaan luvussa 5.

* Arvioinnin asiantuntijoiden työtä tukee ja ohjaa tieteellinen toimituskunta. Toimituskuntaan kuuluu eri tieteenalojen edustajia, joilla on laaja-alainen kokemus näyttöön perustuvista lasten, nuorten ja perheiden psykososiaalisista menetelmistä ja palveluista sekä lapsipolitiikan kentästä Suomessa. Tieteellisen toimituskunnan tehtävänä on hyväksyä arvioitavaksi otettavat uudet menetelmät, varmistaa menetelmäarvioiden laatu ja hyväksyä niiden julkaisu.
** Arvioitsijat ovat riippumattomia menetelmästä ja toisistaan.
Kuvio 3.2. Arviointiprosessin kulkukaavio
Tutkimuskysymys
Kasvun tuen menetelmäarvioiden tutkimuskysymys perustuu PICO-lausekkeeseen, jossa P = kohderyhmä (population), I = menetelmä (intervention), C = vertailumenetelmä (comparison) ja O = vastemuuttuja (outcomes) (Davies, 2011). Näyttöön pohjatuvat menetelmäarviot vastaavat seuraavaan tutkimuskysymykseen:
Onko psykososiaalisella menetelmällä X (joko suoraan tai välillisesti) näyttöön perustuvaa vaikuttavuutta lasten ja nuorten mielenterveyttä edistävään17 tavoitteeseen Y suomalaisessa kontekstissa verrattuna johonkin toiseen vaikuttavaksi todettuun menetelmään tai siihen, että menetelmää ei lainkaan tarjottaisi?
[17] Mukaan lukien mielenterveyden häiriöiden ehkäisyn.
Kirjallisuushaku
Kasvun tuen arvioinnin asiantuntijat määrittävät kirjallisuuden hakusuunnitelman. Kirjallisuushaun rakentamista ohjaa kysymys: mitä tutkimusta menetelmästä on tehty? Hakusuunnitelman laatimisessa konsultoidaan tarvittaessa menetelmän omistajaa tai kotipesää. Haun muodostamisessa käytetään kartoittaville kirjallisuuskatsauksille tyypillistä PCC-strategiaa (Peters ym. 2020), jossa
- P (population) = kohderyhmä, esim. leikki-ikäiset, alakouluikäiset, nuoret, perheet ja vanhemmat
- C (concept) = menetelmä, esim. Schoolwide Positive Behavioral Interventions and Supports (ProKoulu-toimintamalli)
- C (context) = konteksti, esim. terveydenhuolto, sosiaalihuolto, koti, koulu, päiväkoti, kolmas sektori.
Vaikka hakustrategia toteutetaan kartoittavana, kiinnostuksen kohteena ovat ensisijaisesti vaikuttavuustutkimukset. Mukaan otetaan kuitenkin myös muilla asetelmilla tehtyjä tutkimuksia, minkä vuoksi hakustrategia on PCC:n mukainen.
Kasvun tuen arvioinnin asiantuntijat tekevät systemaattisen kirjallisuushaun. Kirjallisuushaku tehdään seuraaviin viitetietokantoihin, joista monia on mahdollista käyttää useiden käyttöliittymien, esimerkiksi OVID, EBSCO ja ProQuest, kautta:
- MEDLINE
- CINAHL
- ERIC
- APA PsycInfo
- Web of Science
- Scopus
Viitetietokantojen lisäksi tutkitaan, onko menetelmästä erityisesti suomenkielisiä julkaisuja Finna.fi-hakupalvelussa ja onko menetelmää arvioitu pohjoismaisissa ja kansainvälisesti käytetyissä, psykososiaalisten menetelmien vaikuttavuutta arvioivissa tietokannoissa. Tarkastettavat pohjoismaiset ja kansainvälisesti käytetyt tietokannat on esitetty taulukossa 3.1. Lisää vaikuttavuusnäytön luokittelun standardijärjestelmistä liitteessä 1.
Taulukko 3.1. Kasvun tuen menetelmäarvioinnissa tarkastettavat psykososiaalisten menetelmien vaikuttavuutta arvioivat tietokannat

Tutkimusten valinta
Kasvun tuen arvioinnin tutkijataustaiset asiantuntijat käyvät läpi kirjallisuushaun löytämät hakuosumat eli viitteet. Ensin yksi asiantuntija käy viitteet läpi otsikko- ja tiivistelmätasolla. Ongelmatilanteissa hän konsultoi toista asiantuntijaa. Sen jälkeen kaksi asiantuntijaa käy viitteet itsenäisesti läpi kokonaisuudessaan. Viitteet merkitään aihetunnisteilla18
- pilottitutkimus
- vaikuttavuustutkimus
- implementointitutkimus
- kustannusvaikuttavuustutkimus
- systemaattinen katsaus
- meta-analyysi.
[18] Myös muita arviointia ja katsausta kirjoitettaessa helpottavia aihetunnisteita voidaan käyttää, esim. Suomi (Suomessa tehty tutkimus), Pohjoismaat, korkean tulotason maa, duplikaatti, Kasvun tuki (menetelmäpankin jo julkaistussa arviossa käytetty artikkeli) jne.
Systemaattiseen katsaukseen hyväksytyt viitteet täyttävät artikkeleiden mukaanottokriteerit.
Artikkeleiden mukaanottokriteerit
- Tutkimuksen kohderyhmä on oikea.
- Menetelmän vaikuttavuutta on tutkittu Maailmanpankin korkean tulotason maassa19.
- Menetelmän implementointia on tutkittu Suomessa tai muussa Pohjoismaassa.
- Menetelmän kustannusvaikuttavuutta on tutkittu Suomessa tai muussa Pohjoismaassa.
- Tutkimus on vertaisarvioitu20 alkuperäistutkimus tai niistä koostuva systemaattinen katsaus tai meta-analyysi.
Artikkeleiden poissulkukriteerit
- Tutkimuksen kohderyhmä on väärä.
- Vaikuttavuustutkimus on tehty Maailmanpankin matalan tai keskitason tulotason maassa.
- Implementointitutkimus on tehty muualla kuin Suomessa tai muussa Pohjoismaassa.
- Kustannusvaikuttavuustutkimus on tehty muualla kuin Suomessa tai muussa Pohjoismaassa.
- Kyseessä on vertaisarvioimaton tutkimus, pääkirjoitus tai kommentaari.
[19] Kasvun tuen asiantuntijat ovat yhdessä tieteellisen toimituskunnan kanssa päätyneet rajaamaan vaikuttavuustutkimukset korkean tulostason maihin. Maan tulotasotieto tarkastetaan sen vuoden osalta, milloin kirjallisuus on haettu systemaattisesti.
[20] Kasvun tuessa arvioitavien tutkimusten tulee ensisijaisesti olla vertaisarvioituja. Vertaisarviointijärjestelmä sisältää laadunvarmennuksen, mikä tarkoittaa, että lehden päätoimittajan lisäksi kaksi tai kolme tutkijaa on arvioinut artikkelin kriittisesti. Huonolaatuiset artikkelit useimmiten hylätään, mutta toisinaan kirjoittajalle annetaan mahdollisuus korjata artikkeli ja lähettää se uudelleen arvioitavaksi. Vain harvoin artikkeli päätyy julkaisuun ilman kerran tai kahdesti tehtyjä korjauksia. Julkaistujen artikkelien välillä on silti huomattavia laatueroja, ja vertaisarviointijärjestelmä ei takaa, että tutkimukset olisivat täysin virheettömiä. Useimmat tieteelliset julkaisut edellyttävät vertaisarvioiduilta artikkeleilta tutkimuksen riittävän yksityiskohtaista raportointia (esim. tieto osallistujista ja käytetyistä mittareista). Tarkoituksena on, että muut tutkijat voisivat toistaa tutkimuksen näiden tietojen perusteella. Tarkan tiedon raportoinnin perusteella myös lukijan tulisi saada käsitys tutkimuksen vahvuuksista ja heikkouksista sekä mahdollisista virheistä. Näin lukijalla on mahdollisuus arvioida sitä, miten tutkimuksen laatu vaikuttaa tulosten tulkintaan. Julkaistut artikkelit ovat (useimmiten) kaikkien tutkijoiden saatavilla. Tämä mahdollistaa ammatillisen ja julkisen keskustelun tutkimuksista ja tuloksista.
Kasvun tuessa arvioitavissa muissa kuin vertaisarvioiduissa julkaisuissa tutkimuksen laatu ja menetelmien ja tulosten raportoinnin tarkkuus määrittelevät, otetaanko julkaisut katsauksiin mukaan. Tämä tarkoittaa, että osallistujatietojen, mittausvälineiden ja menettelyiden (myös tutkimusasetelman) on oltava raportoituina ja tulosten esitettyinä tekstissä ja taulukoissa. Niistä pitää pystyä arvioimaan tulosten merkitsevyys, efektikoko ja tutkimuksen mahdolliset rajoitteet. Tutkijan tiivistelmät tutkimustuloksistaan, sanomalehtiartikkelit tai lukijoiden kommentit tutkimuksesta eivät ole riittäviä dokumentaatioita menetelmäarvioinnin pohjaksi.
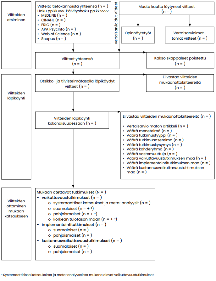
Kun viitteitä käydään läpi, vastataan seuraaviin kysymyksiin, jotta kirjallisuushausta voidaan tehdä vuokaavio (kuvio 3.3).
Viitteiden etsiminen:
- Milloin haku tehtiin?
- Montako viitettä löytyi yhteensä?
- Montako viitettä löytyi viitetietokannoittain?
- Montako viitettä löytyi muuta kautta, esimerkiksi Finna.fi-hakupalvelusta, menetelmän kotipesän tai arvioitsijoiden omien hakujen kautta?
- Montako samaa viitettä eli kaksoiskappaletta poistettiin?
Viitteiden läpikäynti:
- Montako viitettä käytiin läpi otsikko- ja tiivistelmätasolla?
- Montako viitettä käytiin läpi kokonaan?
- Montako viitettä, jotka eivät vastanneet viitteiden mukaanottokriteereitä, poistettiin?21
- Mitkä olivat viitteiden poistamisen syyt ja kuinka monta viitettä poistettiin?
Viitteiden mukaanotto katsaukseen:
- Montako viitettä hyväksyttiin mukaan katsaukseen?
- Montako systemaattista katsausta löytyi?
- Montako meta-analyysia löytyi?
- Kuinka moni viite oli suomalainen vaikuttavuustutkimus?
- Kuinka moni viite oli pohjoismainen vaikuttavuustutkimus?
- Kuinka moni viite oli Maailmanpankin korkean tulotason maan vaikuttavuustutkimus?
- Kuinka moni viite oli suomalainen implementointitutkimus?
- Kuinka moni viite oli pohjoismainen implementointitutkimus?
- Kuinka moni viite oli suomalainen kustannusvaikuttavuustutkimus?
- Kuinka moni viite oli pohjoismainen kustannusvaikuttavuustutkimus?
[21] Toisinaan käy ilmi, että samannimistä menetelmää on käytetty eri tavoin eri tutkimuksissa, varsinkin jos samaa menetelmää käytetään eri maissa. On olemassa esimerkiksi ABC-vanhemmuusryhmä sekä ABC-menetelmä (Attachment and Biobehavioral Catch-up Intervention), jotka molemmat on tarkoitettu kiintymyssuhteen vahvistamiseen. Ne ovat kuitenkin eri menetelmiä. Joskus taas kaksi eri menetelmää voi olla sisällöllisesti samankaltaisia, vaikka niillä on eri nimet. Kun menetelmä arvioidaan Kasvun tuessa, tulee varmistua siitä, että systemaattiseen katsaukseen sisällytettävät tutkimukset viittaavat samaan menetelmään.

Kuvio 3.3. Viitteiden etsiminen, läpikäynti ja viitteiden ottaminen mukaan systemaattiseen kirjallisuuskatsaukseen. Esimerkki systemaattisen kirjallisuushaun viitteiden valinnan vuokaaviosta (muokattu Page ym., 2021).
Vaikuttavuusnäytön arviointiin vaikuttavat tutkittavasta menetelmästä tehdyt systemaattiset katsaukset ja meta-analyysit sekä suomalaiset, pohjoismaiset ja korkean tulotason maissa tehdyt alkuperäisvaikuttavuustutkimukset22,23 (taulukko 3.2). Tavoitteena on saada menetelmälle oikeudenmukaisin arvio. Kaikki arviointiin vaikuttavat tutkimukset käydään läpi ja vasta, jos niitä on paljon, niitä voidaan lähteä priorisoimaan. Priorisointi on holistisen pohdinnan lopputulos. Pohdinnassa noudatetaan seuraavanlaisia periaatteita, joita sovelletaan tapauskohtaisesti.
Arvioinnin priorisointi:
- tutkimusasetelmien tarkastelu
- systemaattiset katsaukset ja meta-analyysit
- vaikuttavuustutkimukset
- ennen–jälkeen-vertailuasetelmalla tehdyt tutkimukset
- maakohtainen tarkastelu
- suomalaiset tutkimukset
- pohjoismaiset tutkimukset
- muut korkean tulotason maiden tutkimukset
- tutkimusasetelmien ja maakohtaisen tarkastelun yhteensovittaminen
- tutkimusten laadun arviointi.
Systemaattisiin katsauksiin ja meta-analyyseihin mukaan otetut alkuperäistutkimukset ovat osa katsausten ja meta-analyysien aineistoa, joten alkuperäistutkimusten vaikuttavuuden luotettavuutta ei erikseen arvioida. Jos systemaattisten katsausten tai meta-analyysien laatu on heikko tai arvioitavaa menetelmää ei ole tutkimuksissa kuvattu riittävästi, tulee alkuperäistutkimusten luotettavuus arvioida erikseen. Muista syistä arviointiin vaikuttamattomia tutkimuksia voivat olla tutkimusasetelmien hierarkiassa alemmalla tasolla tehdyt tutkimukset, esimerkiksi ennen–jälkeen-vertailuasetelmalla toteutetut tutkimukset, jos menetelmän vaikuttavuudesta on useita hyvänlaatuisia vertailukoetutkimuksia tai meta-analyyseja.
[22] Kun kansainvälisiä tutkimustuloksia yleistetään Suomen oloihin, on huomattava, että ulkomailla kehitetyn ja vaikuttavaksi todetun menetelmän ei voida automaattisesti olettaa osoittautuvan yhtä hyväksi ja vaikuttavaksi Suomessa. Siksi jokaisen tutkimuksen soveltuvuus, etenkin niiden tutkimusten, joita ei ole tehty Suomessa tai muissa Pohjoismaissa, tulee arvioida tapauskohtaisesti. Pohdinnan kohteena voi olla esimerkiksi se, onko menetelmään mahdollisesti liittyvä palvelujärjestelmä samankaltainen kuin Suomessa vai poikkeaako se siten, että se estää vaikuttavuustulosten syntymisen Suomessa.
[23] Vrt. Ungsinnin arviointikriteerit, joissa otetaan huomioon vain pohjoismaiset vaikuttavuustutkimukset (https://ungsinn.no/post_artikkel/new-criteria-for-classification/).
Tiedoksi annettavat tutkimukset
Tiedoksi annettavat tutkimukset eivät vaikuta vaikuttavuusnäytön arviointiin. Ne raportoidaan menetelmäarvion eli systemaattisen katsauksen pohdintaan ja kuvataan läpinäkyvyyden lisäämiseksi. Tiedoksi annettavat tutkimuksia ovat suomalaiset ja pohjoismaiset sekä implementointi- että kustannusvaikuttavuustutkimukset (taulukko 3.2). Tavoitteena on, että lukija tietää muista menetelmästä tehdyistä tutkimuksista, vaikka ne eivät varsinaisesti kerro menetelmän vaikuttavuudesta suomalaisessa kontekstissa.
Taulukko 3.2. Kasvun tuen systemaattisiin kirjallisuuskatsauksiin mukaan otettavat tutkimukset

3.3 Menetelmän arviointi
Näyttöön perustuvat psykososiaaliset menetelmät siirtyvät käytäntöön hitaasti (Garland ym., 2013). Useimpien mielenterveyttä edistävien psykososiaalisten menetelmien vaikuttavuudesta ei ole tutkimusta. Samanaikaisesti on olemassa tutkimuksella vaikuttaviksi osoitettuja psykososiaalisia menetelmiä, jotka eivät ole vielä käytössä. Jotta päättäjät voisivat tehdä näyttöön pohjautuvia ratkaisuja, tarvitaan syntetisoitua tutkimusperustaista ja yleistajuista tietoa psykososiaalisten menetelmien vaikuttavuudesta. Kasvun tuen arvioinnin toimitus edistää juuri tätä tarvetta.
Menetelmän vaikuttavuuden arviointi perustuu menetelmän kuvauksen, vaikuttavuusnäytön ja käyttöönoton tuen arviointiin. Menetelmän selkeä kuvaus tavoitteineen ja teoreettinen perusta luovat pohjan menetelmän vaikuttavuuden tutkimiselle. Kuvatut ja teoriaan perustuvat menetelmät ovat mahdollisesti vaikuttavia menetelmiä. Ne voivat olla vaikuttavia, mutta sitä ei voida todentaa ilman vaikuttavuustutkimusta. Luotettavan vaikuttavuustutkimuksen avulla mahdollisesti vaikuttavien menetelmien voidaan todeta olevan näyttöön perustuvia (kuvio 3.4). Sekä vaikuttavuusnäytön eli vaikuttavuustutkimusten laadun että käyttöönoton tuen arviointi on tärkeää, koska vaikuttavuustutkimusten laatu on yhteydessä tutkimustulosten luotettavuuteen. Hyvällä käyttöönoton tuella puolestaan voidaan tukea menetelmän onnistunutta implementointia. Tässä luvussa kuvataan menetelmän 1) kuvauksen, 2) vaikuttavuusnäytön ja 3) käyttöönoton tuen arviointi. Menetelmän kuvauksen arviointi vastaa kysymykseen, mitä menetelmästä on kuvattu ja onko se kuvattu riittävästi. Menetelmän kuvaukseen sisältyvän teoreettisen perustan osalta vastataan edellä esitettyjen kysymysten lisäksi kysymyksiin, miten ja miksi menetelmä johtaa tavoitteeseen tietyssä kohderyhmässä. Vaikuttavuusnäytön arviointi vastaa kysymykseen, onko menetelmällä riittävää ja laadukasta vaikuttavuusnäyttöä suomalaisessa kontekstissa. Käyttöönoton tuen arviointi vastaa kysymyksiin, onko menetelmällä mahdollisuus saavuttaa vaikuttavuus Suomessa ja miten menetelmä vauhdittaa käyttöönottoa.

Kuvio 3.4. Vaikuttavuustutkimuksen avulla voidaan selvittää, onko menetelmä näyttöön perustuva.
Kuvauksen arviointi
Menetelmän vaikuttavuuden tutkimiseksi menetelmää ylläpitävän organisaation täytyy kuvata menetelmä, jotta vaikuttavuustutkimuksissa käytetty menetelmä voidaan todentaa tutkittavaksi menetelmäksi myös toteutuksen osalta, ei vain nimen. Jotta voidaan arvioida, vastaako vaikuttavuustutkimuksissa kuvattu menetelmä tutkittavaa menetelmää, menetelmästä tulee olla saatavilla riittävän kattava kirjallinen kuvaus, esimerkiksi ohje, käsikirja, tutkimusartikkeli tai kirjan luku myös muille kuin menetelmän ylläpitäjälle itselleen.
Hyvästä menetelmän kuvauksesta saa käsityksen, onko menetelmän kohderyhmän, tavoitteiden ja teoriaperustan välillä looginen yhteys. Menetelmän kuvaus vastaa seuraavaan kysymykseen:
Mikä menetelmä X johtaa tavoitteeseen Y kohderyhmässä Z?
Menetelmäkuvauksen ydin voidaan tiivistää seuraavasti: Menetelmä X johtaa tavoitteeseen Y kohderyhmässä Z. Esimerkiksi voitaisiin sanoa, että vanhempainohjausohjelma (= menetelmä X) parantaa vanhemmuustaitoja (= tavoite Y) 1–3-vuotiaiden lasten vanhemmilla (= kohderyhmä Z).
Menetelmän kuvaus jaetaan 12 ulottuvuuteen, ja ne arvioidaan kolmiportaisella asteikolla:
- ei kuvattu lainkaan
- kuvattu, mutta ei riittävästi
- kuvattu riittävästi.
Kuvauksen ulottuvuudet ja niiden sanalliset selitteet on kuvattu taulukossa 3.3.
Taulukko 3.3. Menetelmän kuvauksen arvioitavat ulottuvuudet ja niiden selitteet (mukaillen Ungsinn; Martinussen ym. 2019; verrattu TIDieR-tarkistuslistaan; Hoffmann ym., 2014)

Vaikuttavuusnäytön arviointi
Tutkimusasetelman lisäksi tutkimusten laatu on tärkeää tulosten luotettavuuden kannalta. Jos tutkimuksen arvioinnissa painotetaan ainoastaan tutkimusasetelmaa, voidaan tehdä virhearviointeja. Vaikka asetelma olisi satunnaistettu vertailukoe, tutkimuksen heikko laatu voi tehdä mahdottomaksi päätellä, miten menetelmä vaikuttaa. Jos taas tutkimusasetelmana on satunnaistamaton tutkimus, kuten kvasikokeellinen tutkimus, ja tutkimusmenetelmien laatu on korkea, tutkimuksen perusteella voidaan saada viitteitä menetelmän vaikuttavuudesta. Menetelmästä tehdyn vaikuttavuustutkimuksen arviointi vastaa seuraavaan kysymykseen:
Onko menetelmällä riittävää ja laadukasta vaikuttavuusnäyttöä suomalaisessa kontekstissa?
Menetelmän vaikuttavuusnäytön arviointi perustuu menetelmästä tehtyihin vaikuttavuustutkimuksiin. Yhdestä tutkimuksesta on voitu julkaista useita vaikuttavuustutkimusartikkeleita. Systemaattisessa kirjallisuushaussa löydetyt ja mukaan otetut vaikuttavuustutkimukset eli vaikuttavuustutkimusartikkelit taulukoidaan menetelmäarviossa kolmeen erilliseen taulukkoon:
- koontitaulukkoon
- tulostaulukkoon
- laadunarviointitaulukkoon.
Vaikutusten tulee olla oletetun suuntaisia – vastemuuttujissa ei saa olla tilastollisesti merkitseviä kielteisiä vaikutuksia esimerkiksi itsemurha-alttiudessa. Taulukkoihin kirjattavat tiedot:
Koontitaulukko
- artikkelin viitetiedot
- kohderyhmä (population, P)
- tutkittava menetelmä ja kuvaus (intervention, I)
- vertailumenetelmä ja kuvaus (comparison, C)
- vastemuuttujat (outcomes, O)
- aika ja paikka (time, context, environment)
- tutkimusasetelma
Tulostaulukko
- artikkelin viitetiedot
- vastemuuttuja ja mittari
- vertailuajankohdat
- koeryhmän koko
- vertailuryhmän koko
- ryhmien välinen efektikoko
- suure ja koko
- luottamusväli (luottamustaso)
- p-arvo (merkitsevyystaso)
Laadunarviointitaulukko
- artikkelin viitetiedot
- arvioitavien osa-alueiden pisteet.
Vaikuttavuustutkimusten laatua arvioidaan viiden osa-alueen mukaan:
1. Mittaamisen luotettavuus: Mittareiden luotettavuus ja validiteetti24 arvioidaan suhteessa menetelmän tavoitteeseen. Otollisinta on, jos mittareiden luotettavuus ja validiteetti on selvitetty suomalaisilla tai pohjoismaisilla otoksilla. Aiempi luotettavuustestaus kyseisillä otoksilla on vahvuus. Vastaavia vaatimuksia sovelletaan myös muihin mittausmenetelmiin, kuten havainnointiin ja haastatteluihin. Tutkimuksen luotettavuuden kannalta on parempi, jos tutkimuksessa on käytetty useita informantteja.
2. Tilastoanalyysien luotettavuus: Arvioidaan, ovatko käytetyt tilastomenetelmät riittäviä ja aineistoon soveltuvia (Shadish ym., 2002). Lisäksi arvioidaan tilastollinen voima ja se, onko keskeyttämis- ja herkkyysanalyysit tehty.
3. Harhattomuus: Tutkimuksessa havaitun vaikutuksen syynä voi olla jokin muu kuin käytetty menetelmä. Tällöin tutkimus on harhainen. Paras koeasetelma menetelmän vaikutuksen tutkimiseksi ja harhan minimoimiseksi on satunnaistetun vertailukokeen käyttö. Kun käytetään satunnaistettua koeasetelmaa, tutkimuksen harhaa voivat kuitenkin lisätä esimerkiksi suuri keskeyttäneiden määrä ryhmissä tai se, että vertailuryhmä oppii menetelmästä koeryhmältä. Harhan minimoimiseksi voidaan käyttää myös kvasikokeellista asetelmaa, jossa osallistujia ei ole jaettu satunnaisesti koe- ja vertailuryhmiin. Koeasetelmaa arvioitaessa on tärkeää tietää, miten koe- ja vertailuryhmä on valittu. On arvioitava, onko mahdollisia ryhmien välisiä eroja tutkittu ja onko ne otettu huomioon analyyseissa. Kaikki tekijät eivät ole yhtä merkityksellisiä kaikissa yhteyksissä, ja onkin tärkeää arvioida, mikä on merkityksellistä kussakin yksittäisessä tutkimuksessa.
4. Toteutettavuuden luotettavuus: Hyvä menetelmän toteutettavuus varmistaa tutkimuksessa sen, että menetelmää annetaan suunnitellusti ja yhtäläisesti kaikille koeryhmän tutkittaville. Toteutettavuutta voidaan vahvistaa tutkimuksessa menetelmän käsikirjojen ja oppaiden käytöllä ja toteuttajien koulutuksella. Toistotarkkuutta voidaan vahvistaa myös laadunvarmistusmenetelmin, esimerkiksi luomalla tarkistuslistoja tai tekemällä videoanalyyseja menetelmän antamisesta.
5. Yleistettävyys ja sovellettavuus: Arvioidaan, voidaanko tutkimustuloksia yleistää ja soveltaa tutkimusolosuhteiden eli ihanneolosuhteiden ulkopuolelle ja muissa ryhmissä kuin tutkimuksen kohderyhmässä. Arvioinnin kohteena on se, onko tutkimus toteutettu samankaltaisissa olosuhteissa, joissa menetelmää toteutettaisiin käytännössä. Tutkimustulosten yleistäminen muihin olosuhteisiin ja kohderyhmiin vaatii kuitenkin usein erillisiä tutkimuksia. Arvioitavana on myös se, kuinka kauan mahdollinen vaikutus kestää. Tässä raportoidaan, onko vaikutuksen kestoa tutkittu seurantatutkimuksen avulla ja miten pitkää seurantaa on tehty. Yleisesti hyväksyttyä seuranta-ajan raja-arvoa ei ole olemassa. Kohtuullisena pidetty seuranta-aika riippuu menetelmän tyypistä, sen tavoitteista ja lasten tai nuorten iästä.
[24] Validiteetti eli pätevyys tarkoittaa sitä, miten hyvin voidaan mitata sitä, mitä on tarkoitus mitata (Tietoarkisto, 2024).
Vaikuttavuustutkimusten laadun arvioinnissa käytetään lomakkeessa 1 esitettyä vaikuttavuustutkimuksen arviointilomaketta. Jokainen osa-alue arvioidaan pistein 0–4 p:
0 p = ei raportoitu tai tutkittu
1 p = heikko
2 p = tyydyttävä
3 p = hyvä
4 p = erittäin hyvä
Jos kolmas osa-alue harhattomuus saa arvioinnissa alle kaksi pistettä, tulee tutkimuksen luotettavuus kyseenalaistaa. Pisteiden antamisen jälkeen kullekin vaikuttavuustutkimukselle lasketaan keskiarvo osa-alueiden pisteiden perusteella. Laskettua keskiarvoa käytetään myöhemmin vaikuttavuusnäytön yhtenä osoittimine menetelmäarviota annettaessa.
Taulukkoon 3.4 on koottu osa-alueisiin liittyviä ohjaavia kysymyksiä, joita kirjoittajat voivat pohtia vaikuttavuustutkimuksien laatua arvioitaessa. Tarkat kysymykset on ilmoitettu lomakkeessa 1.
Systemaattisissa kirjallisuushaussa löydetyt menetelmän vaikuttavuudesta tehdyt systemaattiset kirjallisuuskatsaukset ja meta-analyysi arvioidaan lomakkeen 2 avulla. Näiden tutkimusartikkeleiden tiedot kerätään samaan koontitaulukkoon kuin vaikuttavuustutkimukset. Tutkimusten laatu arvioidaan ja tulokset raportoidaan lomakkeessa 2 esitetyllä tavalla.
Taulukko 3.4. Yleiskatsaus vaikuttavuustutkimusten laadunarvioinnin osa-alueisiin


[25] Esimerkiksi puuttuvien tietojen imputoinnin, monikeskustutkimuksissa käsittelyryhmän ja tutkimuspaikan yhdysvaikutuksen (group-by-site) tai intention-to-treat– vs per-protocol-tavalla analysoitavien aineistojen suhteen.
Käyttöönoton tuen arviointi
Tässä oppaassa käyttöönoton tuella tarkoitetaan vauhdittajia, jotka tukevat menetelmän vaikuttavuuden saavuttamista menetelmää implementoitaessa. Tieteellisesti käyttöönotto on EPIS-viitekehyksen mukaan yksi neljästä implementoinnin vaiheesta. Vaiheet ovat kartoitus-, valmistelu-, käyttöönotto- ja seurantavaihe. Implementointi on käyttöönottoa laajempi termi. (Aarons ym., 2011 ja Moullin ym., 2019 Kouvosen ym., 2023, s. 17 mukaan.) Käytämme käyttöönotto-termiä implementointi-termin sijasta yleistajuistamaan ja selkiyttämään asiaa. Käyttöönoton tuen arvio vaikuttavuuden saavuttamiseksi vastaa seuraavaan kysymykseen:
Onko menetelmällä mahdollisuus saavuttaa vaikuttavuus, kun sitä implementoidaan Suomessa?
Käyttöönoton tukea arvioidaan kahdeksan vauhdittajan (implementation driver) mukaan (mukailtu lähteestä Fixsen ym., 2015). Arvio käyttöönoton tuen valmiudesta on jakolaskun tulos, osamäärä. Arvio saadaan jakamalla menetelmän osalta toteutuvien osa-alueiden määrä menetelmän kannalta oleellisten osa-alueiden määrällä. Arviointi perustuu menetelmäoppaaseen tai vastaavaan kirjalliseen tuotokseen. Arvioitavat käyttöönoton tuen vauhdittajat, niiden selitteet ja toteutumiskriteerit on kuvattu taulukossa 3.5.
Taulukko 3.5. Käyttöönoton tuen arvioitavat vauhdittajat, selitteet ja toteutumiskriteerit

4 Menetelmäarvio
Menetelmän kuvauksen, vaikuttavuusnäytön ja käyttöönoton tuen arvioinnin jälkeen psykososiaaliselle menetelmälle annetaan kaiken yhteen nivova menetelmäarvio. Menetelmäarvio vastaa seuraavaan tutkimuskysymykseen: onko psykososiaalisella menetelmällä X näyttöön perustuvaa vaikuttavuutta lasten ja nuorten mielenterveyttä edistävään26 tavoitteeseen Y suomalaisessa kontekstissa? Menetelmäarvio on riippumaton luokitus.
[26] Mukaan lukien mielenterveyden häiriöiden ehkäisy.
Menetelmät arvioidaan asteikolla 1–5 (taulukko 4.1). Arviotasot 1–5 sisältävät vaatimuksia menetelmän kuvaukselle, vaikuttavuusnäytölle ja käyttöönoton tuelle. Menetelmäarvion alimmilla tasoilla 1 ja 2 ei vaadita vaikuttavuusnäyttöä. Viiden arviotason lisäksi menetelmä voi saada arvion menetelmällä on kielteisiä vaikutuksia tai menetelmällä ei ole vaikutusta.
Taulukko 4.1. Menetelmäarviotasot eli menetelmien kasaantuvat vaikuttavuusnäytön arviotasot

Menetelmäarviotasot ovat kasaantuvia, eli edellisen menetelmäarviotason vaatimukset sisältyvät seuraavan arviotason vaatimuksiin (kuvio 4.1). Mikäli arviotason vaatimukset eivät täyty, menetelmäarvio jää edelliselle arviotasolle. Menetelmäarviotasojen vaatimukset on kuvattu seuraavissa alaluvuissa.

Kuvio 4.1 Kasvun tuen mielenterveyttä edistävien psykososiaalisten menetelmien menetelmäarviotasot.
4.1 Kuvattu ja teoreettisesti perusteltu menetelmä (1)
Menetelmä kuvataan tyydyttävästi, ja menetelmän vaikutusmekanismit perustuvat ihmisen käyttäytymistä tai toimintaa selittävään yleisesti hyväksyttyyn teoriaan tai malliin. Menetelmästä on enintään vertaisarvioimatonta tutkimusnäyttöä. Menetelmällä voi mahdollisesti olla vaikuttavuutta, mutta vaikuttavuusnäyttö puuttuu.
Taulukko 4.2. Vaatimukset menetelmälle, joka on kuvattu ja teoreettisesti perusteltu

4.2 Menetelmä, josta on jonkin verran tutkimusta (2)
Menetelmä kuvataan tyydyttävästi, ja menetelmän vaikutusmekanismit perustuvat ihmisen käyttäytymistä tai toimintaa selittävään yleisesti hyväksyttyyn teoriaan tai malliin. Menetelmästä on vertaisarvioitua tutkimusnäyttöä. Menetelmällä voi mahdollisesti olla vaikuttavuutta, mutta vaikuttavuusnäyttöä ei ole tai se ei ole riittävää.
Taulukko 4.3. Vaatimukset menetelmälle, josta on jonkin verran tutkimusta

4.3 Menetelmä, josta on tuloksellisuus- tai vaikuttavuustutkimusta (3)
Menetelmä kuvataan tyydyttävästi, ja menetelmän vaikutusmekanismit perustuvat ihmisen käyttäytymistä tai toimintaa selittävään yleisesti hyväksyttyyn teoriaan tai malliin. Menetelmästä on tehty vähintään yksi korkean tulotason maan määrällinen vaikuttavuustutkimus ennen–jälkeen-asetelmalla27 tai menetelmästä on vähintään yksi myönteinen näytön arviointi pohjoismaisessa tai vakiintuneessa kansainvälisessä tietokannassa. Arviotaso voi sisältää myös menetelmiä, joista on tehty kvasikokeellisia tutkimuksia tai satunnaistettuja vertailukoetutkimuksia, mutta niiden laatu ei täytä kohtalaisen vaikuttavuusnäytön menetelmän kriteerejä. Vaikuttavuustutkimusten tulee olla laadultaan vähintään tyydyttäviä. Lisäksi menetelmällä tulee olla vain myönteisiä todettuja vaikutuksia päävastemuuttujiin tai toissijaisiin vastemuuttujiin.
[27] Ennen–jälkeen-asetelmat sekä ilman vertailu- tai kontrolliryhmää (puhutaan menetelmän tuloksellisuudesta) että sen kanssa – verraten ryhmien sisäisiä muutoksia (kuvailevaa vertailua menetelmien tuloksellisuudesta).
Taulukko 4.4. Vaatimukset menetelmälle, josta on tuloksellisuus- tai vaikuttavuustutkimusta

4.4 Menetelmä, josta on hyvää vaikuttavuustutkimusta (4)
Menetelmä kuvataan hyvin yksityiskohtaisessa käsikirjassa, oppaassa tai verkkosivulla, ja menetelmän vaikutusmekanismit perustuvat ihmisen käyttäytymistä tai toimintaa selittävään yleisesti hyväksyttyyn teoriaan tai malliin. Menetelmästä on tehty vähintään yksi korkean tulotason maan määrällinen vaikuttavuustutkimus satunnaistetulla vertailukoeasetelmalla tai kvasikokeellisella tutkimusasetelmalla verraten menetelmän vaikutuksia koeryhmässä vertailuryhmään. Vaikuttavuustutkimusten tulee olla laadultaan vähintään tyydyttäviä. Lisäksi menetelmällä tulee olla vain myönteisiä todettuja vaikutuksia päävastemuuttujiin tai toissijaisiin vastemuuttujiin. Efektikoko on tiedossa, eli menetelmän vaikuttavuudesta on olemassa näyttöä, mutta ei ole selvää, ovatko löydökset yleistettävissä, kun menetelmää tarjotaan käytännössä.
Taulukko 4.5. Vaatimukset menetelmälle, josta on hyvää vaikuttavuustutkimusta

4.5 Menetelmä, josta on vahvaa vaikuttavuustutkimusta (5)
Menetelmä kuvataan hyvin yksityiskohtaisessa käsikirjassa, oppaassa tai verkkosivulla, ja menetelmän vaikutusmekanismit perustuvat ihmisen käyttäytymistä tai toimintaa selittävään yleisesti hyväksyttyyn teoriaan tai malliin.
Menetelmästä on tehty vähintään kaksi korkean tulotason maan vaikuttavuustutkimusta, joista toinen on menetelmän kehittäjästä riippumaton. Jos vaikuttavuustutkimuksia on vain yksi, vaaditaan lisäksi vähintään yksi myönteinen arviointi menetelmän näytöstä pohjoismaisessa tai vakiintuneessa kansainvälisessä tietokannassa. Vaikuttavuustutkimukset on tehty kvasikokeellisella tutkimusasetelmalla tai satunnaistetulla vertailukoeasetelmalla verraten menetelmän vaikutuksia koeryhmässä vertailuryhmään. Tutkimukset ovat laadullisesti vähintäänkin hyviä, ja menetelmällä on myönteisiä todettuja vaikutuksia päävastemuuttujiin ja mahdollisesti toissijaisiin vastemuuttujiin. Efektikoko on tiedossa ja se on riittävän suuri, jolloin koe- ja vertailuryhmien välillä voidaan arvioida olevan eroa myös käytännössä.
Menetelmällä on kotipesä, joka tukee menetelmän implementointia. Lisäksi menetelmällä on riittävä käyttöönoton tuki, mikä pitää yllä implementoinnin laatua. Käyttöönoton tuen ansiosta on todennäköistä, että tutkimuksessa osoitetut vaikutukset havaitaan myös käytännössä.
Taulukko 4.6. Vaatimukset menetelmälle, josta on vahvaa vaikuttavuustutkimusta

[28] Menetelmän kehittäjästä riippumattomuus ei ole kaikissa tilanteissa täysin selvää. On tarkasteltava, monesko kirjoittaja menetelmän kehittäjä mahdollisesti on ja missä vaiheessa menetelmän vaikuttavuuden tutkiminen on tieteen kumuloitumisen prosessissa – ovatko kyseessä ensimmäiset tutkimukset vai onko tutkimus edennyt pidemmälle.
[29] Menetelmän kotipesä on joko Suomessa tai ulkomailla. Jos kotipesä on ulkomailla, olisi suositeltavaa, että Suomessa toimisi menetelmän lähettiläs tai vastaava, joka koordinoi menetelmää kansallisella tasolla.
4.6 Menetelmä, jolla on kielteisiä vaikutuksia
Menetelmästä on vähintään tutkimusnäyttöä, että menetelmällä on kielteisiä vaikutuksia joko menetelmän tavoitteen kannalta keskeisiin päävastemuuttujiin tai toissijaisiin vastemuuttujiin tai muihin lasten, nuorten ja perheiden turvallisuuteen liittyviin tekijöihin, esimerkiksi itsemurha-alttiuteen. Tutkimusten tulee olla laadukkaita, mutta samanaikaisesti tulee noudattaa varovaisuusperiaatetta eli lapsia, nuoria ja perheitä ei altisteta turhaan mahdollisille kielteisille vaikutuksille. Muiden kuin keskeisten päävastemuuttujien tai toissijaisten vastemuuttujien osalta on käytävä keskustelu kielteisen vaikutuksen vakavuudesta kyseisen vastemuuttujan osalta30.
[30] Päätöksenteon kannalta on olemassa 1) kriittisen tärkeitä vaikutuksia (esim. itsemurha-alttiuden lisääntyminen), 2) tärkeitä, mutta ei kriittisiä vaikutuksia ja 3) ei-tärkeitä vaikutuksia (Jousimaa ym., 2010).
4.7 Menetelmä, jolla ei ole vaikutusta
Laadukkaat vaikuttavuustutkimukset ovat osoittaneet, että menetelmällä ei ole myönteisiä eikä kielteisiä vaikutuksia. Vaikuttavuustutkimusten tulee yltää laadun arvioinnin osalta vähintään tyydyttävälle tasolle (keskiarvo vähintään 2), jotta tuloksia voidaan pitää luotettavina. Peukalosääntönä voidaan ajatella, että jos menetelmällä olisi havaittu vaikuttavuutta, menetelmäarvio olisi 4/5.
4.8 Menetelmäarviotasot kootusti
Menetelmäarviotasojen vaatimukset on esitetty kootusti taulukossa 4.7.
Taulukko 4.7. Menetelmäarviotasojen vaatimukset kootusti

5 Arvioinnin käytännön toteutus
5.1 Arvioitsijoiden koulutus ja koulutusmalli
Kasvun tuen asiantuntijat järjestävät arvioitsijakoulutuksen vuosittain. Koulutus koostuu kahdesta koulutuspäivästä, joista ensimmäinen pidetään etätapaamisena. Ensimmäinen tapaaminen kestää noin neljä tuntia, ja siinä opetetaan menetelmäarvioinnin arvioitavat osa-alueet. Toinen koulutuspäivä on lähitapaaminen, ja se pidetään kaksi viikkoa ensimmäisen koulutuspäivän jälkeen. Toinen tapaaminen kestää seitsemän tuntia. Toisena koulutuspäivänä käydään keskustellen läpi koulutuspäivien välissä arvioitsijoilla teetettyä kotitehtävää ja keskustellaan vaikuttavuustutkimusten luotettavuuden arviointiin liittyvistä tilastotieteellisistä asioista. Kotitehtävänä arvioitsijat harjoittelevat yhden vaikuttavuustutkimuksen laadun arviointia.
Koulutukseen otetaan mukaan ensisijaisesti tohtoreita ja väitöskirjatutkijoita. Muilta katsotaan eduksi ymmärrys interventiotutkimuksesta sekä tieteellisen kirjoittamisen prosessista. Koulutuksen jälkeen arvioitsijoilla on menetelmäarvioinnissa vaadittavat tiedot. Arvioitsijat sitoutetaan tekemään vähintään yksi menetelmäarvio ja aloittamaan arviointi vuoden sisällä koulutuksen päättymisestä.
5.2 Arvioitsijoiden valinta ja sidonnaisuudet
Arvioitsijat valitaan arvioitavan menetelmän ja heidän omien aikataulujensa mukaan. Kasvun tuen arvioinnin asiantuntijat valitsevat katsauksen kirjoittajiksi kaksi tai tarvittaessa useamman arvioitsijan. Ainakin yhden arvioitsijoista täytyy olla väitellyt tai vähintään väitöskirjatutkija. Jos kirjallisuushaussa ei löydy vaikuttavuustutkimusta, menetelmäarvion voi kirjoittaa kaksi väitöskirjatutkijaa. Suositeltavaa on, että molemmat arvioitsijat ovat Kasvun tuen arviointityöhön sitoutumattomia.
Arvioitsijoiden tulee olla arvioitavan menetelmän suhteen puolueettomia, eli arvioitsija ei saa olla osa menetelmää ylläpitävää organisaatiota, menetelmän kehittäjä tai hänen lähipiirissään oleva henkilö tai muutoin puolueellinen, mikä saattaisi vaikuttaa menetelmäarvioon. Arvioitsijat kirjaavat sidonnaisuutensa katsaukseen. Arvioitsijoiden tulee olla riippumattomia toisistaan. Kasvun tuen arvioitsijat eivät kerro arvioitsijoiden henkilöllisyyttä ennen menetelmäarvion valmistumista, jotta arviointiprosessin objektiivisuus voidaan taata. Arvioitsijat voivat kertoa arviointityöstään harkiten, mikäli se vaikuttaa heidän muihin töihin liittyvään objektiivisuuteensa.
Arvioitsijoille maksetaan palkkio palkkiojärjestelmän mukaisesti, ja se on sidottu läpikäytävien vaikuttavuusartikkelien määrään.
5.3 Materiaali arvioitsijoille
Kun arvioitsijat on valittu, heidät perehdytetään katsausten kirjoittamisen. Lisäksi menetelmäarvioinnin alkamisesta uutisoidaan läpinäkyvyyden nimissä.
Arvioitsijoille annetaan
- kirjallinen materiaali menetelmästä
- menetelmän kuvaus ja muu materiaali, esim. menetelmän opas ja verkkosivut
- menetelmän kotipesän täyttämä lomake – tilannekatsaus menetelmän tilasta Suomessa (sis. tiedon menetelmän koulutuksesta, laadunvarmennuksesta, implementoinnin tilasta ja kustannuksista)
- systemaattisessa kirjallisuushaussa löydetyt ja mukaan otetut artikkelit
- tieteelliset artikkelit, jotka menetelmän kotipesä on toimittanut31 tai löytynyt muuta kautta
- katsauksen artikkelipohja
- arvioinnissa käytettävät lomakkeet (lomake 1 artikkeleille ja lomake 2 meta-analyyseille)
- arviointiopas
- julkaistu menetelmäarvio malliksi.
Annetun materiaalin lisäksi arvioitsijat voivat tarvittaessa hakea lisätietoa menetelmästä tekemällä lisähakuja32. Tarvittaessa arvioinnin asiantuntijat ovat yhteydessä menetelmän omistajaan, kehittäjään tai kotipesän edustajaan. Vaikuttavuustutkimusten arvioinnissa käytetään tarvittaessa artikkelien liitteitä ja protokolla-artikkeleita tarkistuksen apuna tai esimerkiksi efektikokojen laskemiseen. Muutoin materiaali, jonka arvioitsijat käyvät läpi, rajataan annettuun materiaaliin.
[31] Materiaalin tulee olla mielellään vertaisarvioitu. Julkaisukunnossa olevan tai julkaistavaksi lähetetyn käsikirjoituksen osalta tulee käyttää harkintaa, samoin myös joidenkin vertaisarvioimattomien, mutta muutoin tieteellisesti pätevien tutkimusraporttien osalta, kuten esimerkiksi tanskalainen vertaisarvioimaton vaikuttavuustutkimusraportti SISUKAS-menetelmästä (Eiberg, Kragh Andersen & Scavenius, 2018).
[32] Mahdolliset lisähaut on kirjoitettava katsaukseen.
5.4 Systemaattisen katsauksen kirjoittaminen
Kirjoittamisvastuut on hyvä suunnitella ennen kuin aloitetaan arviointi ja katsauksen kirjoittaminen. Arvioitsijat sopivat vastuista keskenään. Kirjoittamisvastuut vaikuttavat katsauksen kirjoittajajärjestykseen. Seuraavia kirjoitusprosessin suuntaviivoja voi käyttää vastuiden jäsentelyyn.
Kirjoitusprosessin suuntaviivat:
1. Menetelmään perehtyminen ja johdannon kirjoittaminen
- Arvioitsijat perehtyvät huolellisesti menetelmään saamansa materiaalin perusteella.
- Ensimmäinen kirjoittaja aloittaa johdannon kirjoittamisen katsauspohjaan.
- Ilmiön kuvaukseen voi olla tarpeen hakea lisäkirjallisuutta ilmiön taustoittamiseksi.
2. Vaikuttavuustutkimusten läpikäynti
- Arvioitsijat käyvät itsenäisesti läpi vaikuttavuustutkimuskirjallisuuden ja pisteyttävät33 tutkimukset osa-alueittain pistein 0–4.
- Pisteytyksen jälkeen arvioitsijat keskustelevat pisteytyksestä.
- Tavoitteena on yksimielisyys pisteistä. Myös puolikkaat pisteet ovat mahdollisia.
- Vaikuttavuustutkimusten tiivistelmät kannattaa kirjoittaa katsauspohjaan ja tulokset ekstraktoida tutkimusten läpikäynnin yhteydessä.
3. Tulosluvun kirjoittaminen
- Tulosluvun kirjoittamisen arvoitsijat voivat halutessaan jakaa.
- Luontevinta on, että johdannon kirjoittanut kirjoittaa myös kuvauksen arvioinnin.
- Vaikuttavuusnäytön ja käyttöönoton tuen arvioinnin voi kirjoittaa se arvioitsija, jolle aihe on tutumpi.
4. Pohdinnan kirjoittaminen
- Pohdinnan kirjoittavat tulosluvun pohjalta joko molemmat yhdessä tai vain toinen arvioitsija.
- Arvioitsijat ehdottavat menetelmälle yhdessä menetelmäarviota.
Katsaus kirjoitetaan katsauspohjalle. Kaikkien kirjoittajien on hyväksyttävä katsauksen sisältö. Arviointiprosessiin on syytä varata vaikuttavuuskirjallisuuden määrän mukaan vähintään puoli vuotta.
[33] On suositeltavaa lähteä pisteyttämään pisteestä 2 ja laskea tai nostaa pisteytystä puutteiden tai ansioiden mukaan. On huomioitava, että artikkeleissa ei raportoida kaikkea esim. julkaisujen sanamäärien takia. Mitä on jätetty pois tietoisesti, mitä tiedostamatta, mikä on tutkimuksen puute ja mikä tutkimuksen raportoinnin puute?
Systemaattisen kirjallisuuskatsauksen rakenne
Systemaattinen kirjallisuuskatsaus koostuu tiivistelmästä ja neljästä osiosta. Lisäksi menetelmä kuvataan katsauksen etusivulla kahdessa tietolaatikossa. Osiot ja niiden alaotsikot kuvioineen ja taulukkoineen on esitetty taulukossa 5.1. Yhtäläisen rakenteen tavoitteena on, että menetelmistä tehtyjä systemaattisia kirjallisuuskatsauksia olisi helppoa vertailla. Katsausten sisältö voi painottua eri tavalla sen mukaan, onko menetelmästä löytynyt vaikuttavuustutkimusta. Jos vaikuttavuustutkimusta ei ole, katsauksen sisällössä painottuvat menetelmän kuvaus ja käyttöönoton tuki, kun taas silloin, jos vaikuttavuustutkimusta on olemassa, katsauksessa painottuu sen arviointi.
Taulukko 5.1. Systemaattisen kirjallisuuskatsauksen rakenne


Kirjoitusohjeet
Menetelmien arvioinnin lisäksi systemaattisten kirjallisuuskatsausten tavoitteena on edistää menetelmien jatkokehittämistä ja tiedon lisäämistä. Arviointiin mukaan otettujen artikkelien puutteet ja heikkoudet tulee kuvata neutraalisti ja asiallisesti. Jos tutkimusten laatu vaihtelee, laadultaan parhaita tutkimuksia tulee painottaa. Systemaattisessa kirjallisuuskatsauksessa on tärkeää tuoda esiin havaittujen vaikutusten käytännön merkitys.
Kieleltään katsauksen tulee olla mahdollisimman yleistajuista ja selkokielistä. Viitteet ja lähteet kirjataan APA 7 ‑viittaustyylin mukaan (APA, 2020).
5.5 Arvioitsijoiden tuki ja ohjaus
Arvioitsijoille annetaan säännöllistä tukea ja ohjausta arviointiprosessin aikana. Tavoitteena on tukea arvioitsijoita erityisesti vaikuttavuustutkimusten laadun arvioinnissa. Reflektointi on tärkeää erityisesti tulkinnallisissa tutkimuksissa tai jos vaikuttavuustutkimusten laadun keskiarvo on kahden tai kolmen rajalla. Tällä on vaikutus menetelmäarvioon, sillä tutkimusten laadun on oltava vähintään tyydyttävä (keskiarvoltaan kaksi) menetelmäarviotasoilla 3/5 ja 4/5 ja hyvä (keskiarvoltaan kolme) menetelmäarviotasolla 5/5. Arvioitsijoille tarjotaan tilastokonsultoinnin mahdollisuutta.
5.6 Menetelmäarvion hyväksyminen ja julkaiseminen
Arvioitsijat lähettävät katsauksen käsikirjoituksen Kasvun tuki -aikakauslehden toimitukseen. Lehden päätoimittaja lukee katsauksen ja kommentoi sitä. Arvioitsijat tekevät päätoimittajan pyytämät muokkaukset. Tarvittaessa päätoimittaja kommentoi uudelleen. Arvioinnin asiantuntijat lukevat katsauksen ja joko puoltavat ehdotettua menetelmäarviota tai ehdottavat muutosta. Kasvun tuen arvioinnin asiantuntijat tarkistavat menetelmäarvion perusteet.
Tämän jälkeen katsaus lähetetään vertaisarvioitavaksi. Kaksi tieteellisen toimituskunnan jäsentä tai arvioitsijakoulutuksen suorittanutta ja vähintään yhden menetelmäarvion systemaattisena kirjallisuuskatsauksena kirjoittanutta arvioitsijaa vertaisarvioivat katsauksen tutkimuksellisesta näkökulmasta. He ottavat kantaa menetelmäarvioehdotukseen. Arvioitsijat tekevät vertaisarvioitsijoiden pyytämät muokkaukset. Tarvittaessa katsaus vertaisarvioidaan uudelleen. Seuraavaksi kotipesän edustaja tarkistaa katsauksen mahdollisten väärinymmärrysten oikaisemiseksi. Lisäksi katsaus lähetetään kommentoitavaksi menetelmää työssään käyttävälle kentän ammattilaiselle. Arvioitsijat tekevät pyydetyt muutokset, ja tarvittaessa katsaus käytetään uudelleen kotipesällä ja kentän ammattilaisella. Lopuksi tieteellisen toimituskunnan puheenjohtaja hyväksyy katsauksen ja menetelmäarvion.34
Lehden toimitus tarkistaa katsauksen muotoilun ennen julkaisua. Arvioitsijoiden hyväksymä viimeistelty versio lähtee taittoon. Lehden toimitus tarkistaa taiton, ja katsaus julkaistaan lehdessä ja menetelmäpankissa. Katsauksen julkaisemisesta viestitään Itlan kanavissa.
[34] Jos tieteellisen toimituskunnan puheenjohtaja on jäävi, päätöksen tekee joku toinen tieteellisen toimituskunnan jäsen, joka ei kuitenkaan ole osallistunut katsauksen vertaisarviointiin.
5.7 Menetelmäarvion päivittäminen ja päivittämisjärjestys
Menetelmän arviointiin pääsy on kuvattu kuviossa 3.1. Kun on kyse päivitettävästä menetelmästä, prosessi muistuttaa uuden menetelmän arviointiin pääsyä. Uutta tieteellisen toimituskunnan hyväksyntää ei tarvita. Tarve päivittämiselle voi nousta myös sisäisesti Kasvun tuessa, jolloin menetelmästä tehdään alustava arvio ja pohditaan, mikä olisi päivitettävien menetelmien arviointijärjestys. Joka tapauksessa menetelmäarvioiden ajankohta tarkistetaan vuosittain ja päivittämisen tarvetta pohditaan.
Katsauksen päivittämistä varten tiedustellaan ensin alkuperäisten arvioitsijoiden halukkuutta ryhtyä tehtävään. Jos heitä ei tavoiteta tai he eivät halua olla mukana päivittämässä systemaattista kirjallisuuskatsausta, tehtävä voidaan antaa muille arvioitsijoille. Uusilla arvioitsijoilla on mahdollisuus käyttää uudelleen edellisen katsauksen tekstiä. Katsaukseen merkitään, kuinka mones versio arvio on kyseisestä menetelmästä.
Menetelmänarvio ei ole pysyvä, vaan se voi vahvistua tai mahdollisesti heikentyä uuden tutkimustiedon valossa. Arvio voi heikentyä esimerkiksi silloin, jos saadaan tarkempaa tietoa menetelmän vaikuttavuudesta suomalaisessa kontekstissa aikaisempien tutkimustulosten lisäksi. On myös hyväksyttävä, että suomalainen konteksti on ajassa muuttuva, joten kaikki aikaisemmat tutkimustulokset eivät välttämättä päde kymmenien vuosien päästä. Aika ja palvelurakenteiden muutokset on huomioitava päivitysten yhteydessä menetelmäkohtaisesti tieteen etiikan ja tiedonmuodostumisprosessin rinnalla.
Päätöksen päivitettävistä menetelmistä tekevät Kasvun tuen asiantuntijat. Tieteellisen toimituskunnan erillishyväksyntää ei tarvita. Menetelmästä tehdyn päivitysjulkaisun hyväksyy lopulta tieteellisen toimituskunnan puheenjohtaja.
Päivitettävien menetelmien arviointijärjestykseen vaikuttaa ensisijaisesti
- menetelmästä julkaistu uusi vertaisarvioitu vaikuttavuustutkimus.
Toissijaisesti järjestykseen vaikuttavat
- lasten ja nuorten tarpeet
- ilmiöön ja menetelmään liittyvän poliittisen päätöksenteon ajankohtaisuus
- menetelmän käytön laajuus kentällä.
Lomakkeet ja liitteet luettavissa oppaan pdf-versiosta sivulta 51 alkaen.
Lähteet
Aalto-Setälä, T., Huikko, E., Appelqvist-Schmidlechner, K., Havaruovi, H. & Marttunen, M. (2023). Kouluikäisten mielenterveysongelmien tuki ja hoito perustason palveluissa: Opas tutkimiseen, hoitoon ja vaikuttavien menetelmien käyttöön. (Ohjaus 14). Terveyden ja hyvinvoinnin laitos.
Aarons, G. A., Hurlburt, M. & Horwitz, S. M. (2011). Advancing a conceptual model of evidence-based practice implementation in public service sectors. Administration and Policy in Mental Health and Mental Health Services Research, 38(1), 4–23. https://doi.org/10.1007/s10488-010-0327-7
Aggarwal, R. & Ranganathan, P. (2019). Study designs: Part 2 – Descriptive studies. Perspective in Clinical Research, 10(1), 34–36. https://doi.org/10.4103/picr.PICR_154_18
American Psychological Association [APA]. (2005). Policy statement on evidence-based practice in psychology. http://www.apa.org/practice/guidelines/evidence-based-statement.aspx
American Psychological Association [APA]. (2020). Publication manual of the American Psychological Association. American Psychological Association.
Baginsky, M., Ixer, G. & Manthorpe, J. (2021). Practice frameworks in children’s services in England: an attempt to steer social work back on course? Practice, 33(1), 3–19. https://doi.org/10.1080/09503153.2019.1709634
Bowen, D. J., Kreuter, M., Spring, B., Cofta-Woerpel, L., Linnan, L., Weiner, D., … & Fernandez, M. (2009). How we design feasibility studies. American journal of preventive medicine, 36(5), 452–457.
Cuijpers, P. (2016). Meta-analyses in mental health research. A practical guide. Vrije Universiteit.
Cuijpers, P., Miguel, C., Harrer, M., Ciharova, M. & Karyotaki, E. (2024). The overestimation of the effect sizes of psychotherapies for depression in waitlist controlled trials: a meta-analytic comparison with usual care controlled trials. Cambridge University Press.
Davies, K. S. (2011). Formulating the evidence-based practice question: A review of the frameworks. Evidence based library and information practice, 6(2), 75–80. https://doi.org/10.18438/B8WS5N
Deeks, J. J., Higgins, J. P. T., Altman, D. G. & Cochrane Statistical Methods Group. (2019). Analysing data and undertaking meta‐analyses. Teoksessa J. P. T. Higgins, J. Thomas, J. Chandler, M. Cumpston, T. Li, M. J. Page & V. A. Welch (toim.), Cochrane handbook for systematic reviews of interventions (s. 241–284). Cochrane.
Drummond, M. F., Sculpher, M. J., Torrance, G. W., O’Brien, B. J. & Stoddart, G. L. (2005). Methods for the Economic Evaluation of Health Care Programmes. Third Edition. Oxford University Press. United Kingdom.
Duodecim Terveyskirjasto. (26.11.2021). Kasvu ja kehitys eri-ikäkausina. Haettu 28.11.2024 osoitteesta https://www.terveyskirjasto.fi/pla00018#s5
Durlak, J. A. & DuPre, E. P. (2008). Implementation matters: A review of research on the influence of implementation on program outcomes and the factors affecting implementation. American Journal of Community Psychology, 41, 327–350. https://doi.org/10.1007/s10464-008-9165-0
Eiberg, M., Kragh Andersen, L. & Scavenius, C. (2018). Skolestøtte til børn i familiepleje: delrapport I, Et effektstudie. VIVE.
Fixsen, D. L., Naoom, S. F., Blasé, K. A., Friedman, R. M. & Wallace, F. (2005). Implementation research: A synthesis of the literature. University of South Florida.
Fixsen, D. L., Blase, K. A., Naoom, S. F. & Duda, M. A. (2015). Implementation drivers: Assessing best practices. National Implementation Research Network, University of North Carolina at Chapel Hill. https://doi.org/10.13140/RG.2.2.20415.30885
Francke, A. L., Smit, M. C., de Veer, A. J. & Mistiaen, P. (2008). Factors influencing the implementation of clinical guidelines for health care professionals: A systematic meta-review. BMC medical informatics and decision making, 8(1), 1–11. https://doi.org/10.1186/1472-6947-8-38
Garland, A. F., Haine-Schlagel, R., Brookman-Frazee, L., Baker-Ericzen, M., Trask, E. & Fawley-King, K. (2013). Improving community-based mental health care for children: Translating knowledge into action. Administration and Policy in Mental Health and Mental Health Services Research, 40(1), 6–22. https://doi.org/10.1007/s10488-012-0450-8
Gochman, D. S. (toim.). (1997). Handbook of health behavior research IV: Relevance for professionals and issues for the future. Plenum Press.
Gottfredson, D. C., Cook, T. D., Gardner, F. E., Gorman-Smith, D., Howe, G. W., Sandler, I. N. & Zafft, K. M. (2015). Standards of evidence for efficacy, effectiveness, and scale-up research in prevention science: Next generation. Prevention science, 16(7), 893–926. https://doi.org/10.1007/s11121-015-0555-x
Grant, M. J. & Booth, A. (2009). A typology of reviews: An analysis of 14 review types and associated methodologies. Health Information & Libraries Journal, 26(2), 91–108. https://doi.org/10.1111/j.1471-1842.2009.00848.x
Guyatt, G. H., Oxman, A., Vist, G. E. V., Kunz, R., Falck-Ytter, Y., Alonso-Coello, P. & Schünemann, H. J. (2008). GRADE: an emerging consensus on rating quality of evidence and strength of recommendations. BMJ, 336(7650), 924–926. https://doi.org/10.1136/bmj.39489.470347.AD
Hallituksen esitys HE 131/2014 vp (26.9.2024). Hallituksen esitys eduskunnalle lasten ja nuorten terapiatakuuta koskevaksi lainsäädännöksi. Haettu 14.11.2024 osoitteesta https://www.eduskunta.fi/FI/vaski/HallituksenEsitys/Sivut/HE_131+2024.aspx
Hariton, E. & Locascio, J. J. (2018). Randomised controlled trials: the gold standard for effectiveness research. BJOG: An International Journal of Obstetrics and Gynaecology, 125(13), 1716. https://doi.org/10.1111/1471-0528.15199
Haukkala, A. (2011). Väestön terveyserot ja terveyteen vaikuttavat sosiaaliset tekijät. Teoksessa M. Laaksonen & K. Silventoinen (toim.), Sosiaaliepidemiologia (s. 142–158). Gaudeamus.
Heikkilä, L., Merikukka, M., Hinkka-Yli-Salomäki, S. & Kurki, M. (2022). Toimiva lapsi & perhe -menetelmät: Lapset puheeksi-perheinterventio (Family Talk Intervention). Kasvun tuki -aikakauslehti, 2(2), 63–87. https://doi.org/10.61259/kt.128909
Heliskoski, J., Humala, H., Kopola, R., Tonteri, A. & Tykkyläinen, S. (2018). Vaikuttavuuden askelmerkit: työkaluja ja esimerkkejä palveluntuottajille. (Sitran selvityksiä 130). Sitra.
Higgins, J. P., Thomas, J., Chandler, J., Cumpston, M., Li, T., Page, M. J. & Welch, V. A. (toim.) (2019). Cochrane handbook for systematic reviews of interventions (2. painos). John Wiley & Sons.
Hinkka-Yli-Salomäki, S. (2021). Vaikuttavuustutkimus: Satunnaistettu vertailukoe tulee suunnitella huolella. Kasvun tuki ‑aikakauslehti, 1(2), 40–45. https://doi.org/10.61259/kt.128200
Hoffmann, T. C., Glasziou, P. P., Boutron, I., Milne, R., Perera, R., Moher, D., … & Michie, S. (2014). Better reporting of interventions: template for intervention description and replication (TIDieR) checklist and guide. BMJ, 348:g1687. https://doi.org/10.1136/bmj.g1687
Hoitotyön tutkimussäätiö (Hotus). (2024). Näyttöön perustuva terveydenhuolto. https://www.hotus.fi/nayttoon-perustuva-toiminta/
Hukkelberg, S. S. & Ogden, T. (2013). Working alliance and treatment fidelity as predictors of externalizing problem behaviors in parent management training. Journal of Consulting and Clinical Psychology, 8, 1010–1020. https://doi.org/10.1037/a0033825
Institute of Medicine [IOM]. (2015). Psychosocial interventions for mental and substance use disorders: A framework for establishing evidence-based standards. The National Academies Press.
Jordan, Z., Lockwood, C., Munn, Z. & Aromataris, E. (2019). The updated Joanna Briggs Institute model of evidence-based healthcare. International Journal of Evidence-Based Healthcare, 17(1), 58–71. https://doi.org/10.1097/XEB.0000000000000155
Jousimaa, J., Liira, H., Liira, J. & Komulainen, J. (2010). Hoitosuositusten näytönasteen ja vahvuuden arviointi GRADE-työryhmän tapaan. Lääketieteellinen aikakauskirja Duodecim, 126(16), 1936–1943.
Jylhä, V., Oikarainen, A., Perälä, M.-L. & Holopainen, A. (2019). Näyttöön perustuvan toiminnan edistäminen hoito- ja kätilötyössä Maailman terveysjärjestön Euroopan alueella. (Raportti 2/2019). Hoitotyön tutkimussäätiö. Pohjautuu julkaisuun Facilitating evidence-based practice in nursing and midwifery in the WHO European Region.
Kazdin, A. E. (2008). Evidence-based treatment and practice: new opportunities to bridge clinical research and practice, enhance the knowledge base, and improve patient care. American psychologist, 63(3), 146–159. https://doi.org/10.1037/0003-066X.63.3.146
Kouvonen, P., Tani, S., Kurki, M. & Hamari, L. (2023). Miten onnistun implementoinnissa? Opas psykososiaalisten menetelmien vaikuttavien implementointiin. (Itlan oppaat ja käsikirjat 2023:1).Itsenäisyyden juhlavuoden lastensäätiö.
Kumah, E. A., McSherry, R., Bettany-Saltikov, J., van Schaik, P., Hamilton, S., Hogg, J. & Whittaker, V. (2022). Evidence‐informed practice versus evidence‐based practice educational interventions for improving knowledge, attitudes, understanding, and behavior toward the application of evidence into practice: A comprehensive systematic review of UG student. Campbell Systematic Reviews, 18(2). https://doi.org/10.1002/cl2.1233
Loechner, J., Starman, K., Galuschka, K., Tamm, J., Schulte-Körne, G., Rubel, J. & Platt, B. (2018). Preventing depression in the offspring of parents with depression: A systematic review and meta-analysis of randomized controlled trials. Clinical Psychology Review, 60, 1–14. https://doi.org/10.1016/j.cpr.2017.11.009
Malmivaara, A. (2022). Vaikuttavuus sosiaali- ja terveydenhuollossa. Kustannus Oy Duodecim.
Malmivaara, A. (2023). Yhteistä säveltä sosiaali- ja terveydenhuollon arkivaikuttavuuden arviointiin. Yhteiskuntapolitiikka, 88(4), 430–438. https://urn.fi/URN:NBN:fi-fe20230913124929
Malmivaara, A. & Komulainen, J. (2014). Luotettavaa vaikuttavuustietoa järjestelmällisistä katsauksista. Duodecim, 130, 1635–1641.
Martinussen, M. & Kurki, M. (2021). The first 1000 days in the Nordic countries psychosocial interventions and psychological tests: A review of the evidence. http://dx.doi.org/10.6027/nord2021-037
Martinussen, M., Reedtz, C., Eng, H., Neumer, S. P., Patras, J. & Mørch, W. T. (2019). Criteria and procedures for evaluation and classification of interventions (2. painos). Regional Centre for Child and Youth Mental Health and Child Welfare (RKBU North).
Meyers, D. C., Durlak, J. A. & Wandersman, A. (2012). The Quality Implementation Framework: A synthesis of critical steps in the implementation process. American Journal of Community Psychology, 50, 462–480. https://doi.org/10.1007/s10464-012-9522-x
Midgley, G. (2000). Systemic Intervention. Contemporary Systems Thinking. Springer. https://doi.org/10.1007/978-1-4615-4201-8_6
Moullin, J. C., Dickson, K. S., Stadnick, N. A., Rabin, B. & Aarons, G. A. (2019). Systematic review of the Exploration, Preparation, Implementation, Sustainment (EPIS) framework [Article]. Implementation Science, 14(1), 1–16. https://doi.org/10.1186/s13012-018-0842-6
National Center for Complementary and Integratvie Health [NIH]. (28.11.2024). Pilot studies: Common uses and misuses. Haettu 28.11.2024 osoitteesta https://www.nccih.nih.gov/grants/pilot-studies-common-uses-and-misuses
Ng, E. & de Colombani, P. (2015). Framework for selecting best practices in public health: A systematic literature review. Journal of Public Health Research, 4(3), 577. https://doi.org/10.4081/jphr.2015.577
Nummenmaa, L. (2021). Tilastotieteen käsikirja. Tammi.
Page, M. J., McKenzie, J. E., Bossuyt, P. M., Boutron, I., Hoffmann, T. C., Mulrow, C., D., … & Moher, D. (2021). The PRISMA 2020 statement: An updated guideline for reporting systematic reviews. BMJ, 372:n71. https://doi.org/10.1136/bmj.n71
Patsopoulos, N. A. (2011). A pragmatic view on pragmatic trials. Dialogues in Clinical Neuroscience, 13(2), 217–224. https://doi.org/10.31887/DCNS.2011.13.2/npatsopoulos
Peters, D. H., Adam, T., Alonge, O., Akua Agyepong, I. & Tran, N. (2013). Implementation research: What it is and how to do it. BMJ, 347:f6753. https://doi.org/10.1136/bmj.f6753
Peters, M., Godfrey, C., McInerney, P., Munn, Z., Tricco, A. & Khalil, H. (2020). Scoping reviews. Teoksessa E. Aromataris & Z. Munn (toim.), Joanna Briggs Institute reviewer’s manual. JBI. https://doi.org/10.46658/JBIMES-20-12
Porzsolt, F., Galito Rocha, N., Toledo-Arruda, A., Thomaz, T. G., Moraes, C., Bessa-Guerra, T. R., … & Weiss, C. (2015). Efficacy and effectiveness trials have different goals, use different tools, and generate different messages. Pragmatic and Observational Research, 6, 47–54. https://doi.org/10.2147/POR.S89946
Proctor, E., Silmere, H., Raghavan, R., Hovmand, P., Aarons, G., Bunger, A., Griffey, R. & Hensley, M. (2011). Outcomes for implementation research: Conceptual distinctions, measurement challenges, and research agenda. Administration and Policy in Mental health, 38(2), 65–76 https://doi.org/10.1007/s10488-010-0319-7v
Riess, B. (2010). Corporate Citizenship planen und messen mit der iooi Methode. Gütersloh: Bertelsmann Stiftung. Haettu 13.8.2024 osoitteesta https://www.bertelsmann-stiftung.de/fileadmin/files/Leitfaden_CCMessungl.pdf
Ringwalt, C., Ennett, S., Johnson, R., Rohrbach, L., Simons-Rudolph, A., Vincus, A. & Thorne, J. (2003). Factors associated with fidelity to substance use prevention curriculum guides in the nation’s middle schools. Health Education & Behavior, 30(3), 375–391. https://doi.org/10.1177/1090198103253627
Sackett, D. L., Rosenberg, W. M., Gray, J. A., Haynes, R. B. & Richardson, W. S. (1996). Evidence based medicine: What it is and what it isn’t. British Medical Journal, 312(7023), 71–72. https://doi.org/10.1136/bmj.312.7023.71
Scurlock-Evans, L. & Upton, D. (2015). The role and nature of evidence: A systematic review of social workers’ evidence-based practice orientation, attitudes, and implementation. Journal of evidence-informed social work, 12(4), 369–399. https://doi.org/10.1080/15433714.2013.853014
Sefton, T., Byford, S., McDaid, D., Hills, J. & Knapp, M. (2002). Making the most of it: Economic evaluation in the social welfare field. Joseph Rowntree Foundation.
Seilo, N., Lindholm, L., Tani, S., Laajasalo, T., Lämsä, R., Cresswell-Smith, J., Kouvonen, P. & Linnaranta, O. (2024). Psykososiaalisen intervention adaptointi – kuvaus keskeisistä näkökulmista ja käsitteistä. Kasvun tuki -aikakauslehti, 4(1). https://doi.org/10.61259/kt.144999
Shadish, W. R., Cook, T. D. & Campbell, D. T. (2002). Experimental and quasi-experimental designs for generalized causal inference. Houghton Mifflin.
Signal, A. G., Higgins, P. D. R. & Waljee, A. K. (2014). A primer on effectiveness and efficacy trials. Clinical and translational gastroenterology, 5, e45. https://doi.org/10.1038/ctg.2013.13
Silventoinen, K. & Latvala, A. (2024). Kausaalisuuden arviointi sosiaali- ja terveys tieteellisessä tutkimuksessa. Sosiaalilääketieteellinen aikakauslehti, 61(3). https://doi.org/10.23990/sa.137221
Skivington, K., Matthews, L., Simpson, S. A., Craig, P., Baird, J., Blazeby, J. M., … & Moore, L. (2021). A new framework for developing and evaluating complex interventions: update of Medical Research Council guidance.BMJ, 374, 1–11. https://doi.org/10.1136/bmj.n2061
Solberg, C., Larsson, B. & Jozefiak, T. (2015). Consumer satisfaction with the Child and Adolescent Mental Health Service and its association with treatment outcome: A 3–4-year follow-up study. Nordic Journal of Psychiatry, 69, 224–232. https://doi.org/10.3109/08039488.2014.971869
Sosiaali- ja terveysministeriö [STM]. (2009). Johtamisella vaikuttavuutta ja vetovoimaa hoitotyöhön. Toimintaohjelma 2009–2011. Sosiaali- ja terveysministeriön julkaisuja 2009:18.
Sosiaali- ja terveysministeriö [STM]. (2023). Psykososiaalisten menetelmien käsitteiden täsmentämistarpeet 2023. STM:n eduskunnalle valmistelema muistio VN/576/2023.
Sosiaali- ja terveysministeriö [STM]. (23.9.2024). Hallitus esittää terapiatakuuta lapsille ja nuorille. Haettu 28.11.2024 osoitteesta https://stm.fi/-/hallitus-esittaa-terapiatakuuta-lapsille-ja-nuorille
Steele, D. W., Becker, S. J., Danko, K. J., Balk, E. M., Adam, G. P., Saldanha, I. J. & Trikalinos, T. A. (2020). Brief behavioral interventions for substance use in adolescents: a meta-analysis. Pediatrics, 146(4). https://doi.org/10.1542/peds.2020-0351
Sutton, A., Clowes, M., Preston, L. & Booth, A. (2019). Meeting the review family: Exploring review types and associated information retrieval requirements. Health Information & Libraries Journal, 36(3), 202–222. https://doi.org/10.1111/hir.12276
Tampereen yliopiston kirjasto. (24.3.2024). Systemaattinen tiedonhaku: Aloita tästä. Tampereen yliopisto. Haettu 15.11.2024 osoitteesta https://libguides.tuni.fi/systemaattinen-tiedonhaku
Terveyden ja hyvinvoinnin laitos [THL]. (24.5.2024). Nuorten mielenterveyshäiriöt. Haettu 28.11.2024 osoitteesta https://thl.fi/aiheet/mielenterveys/mielenterveyshairiot/nuorten-mielenterveyshairiot
Tietoarkisto. (2024). Mittaaminen: Mittarin luotettavuus. Haettu 18.11.2024 osoitteesta https://www.fsd.tuni.fi/fi/palvelut/menetelmaopetus/kvanti/mittaaminen/luotettavuus/
Turchik, J. A., Karpenko, V., Ogles, B. M., Demireva, P. & Probst, D. R. (2010). Parent and adolescent satisfaction with mental health services: Does it relate to youth diagnosis, age, gender, or treatment outcome? Community Mental Health Journal, 46, 282–288. https://doi.org/10.1007/s10597-010-9293-5
Veerman, J. W. & van Yperen, T. A. (2007). Degrees of freedom and degrees of certainty: A developmental model for the establishment of evidence-based youth care. Evaluation and Program Planning, 30, 212–221. https://doi.org/10.1016/j.evalprogplan.2007.01.011
Westersund, V. (2023). Kustannusvaikuttavuuden huomioiminen hoitosuosituksissa. Selvitys. FinCCHTA.
World Health Organization [WHO]. (2014). WHO handbook for guideline development (2. painos). World Health Organization. https://apps.who.int/iris/handle/10665/145714
World Health Organization [WHO]. (2020a). Guidelines on mental health promotive and preventive interventions for adolescents: helping adolescents thrive. World Health Organization.
World Health Organization [WHO]. (2020b). Improving early childhood development: WHO guideline. World Health Organization.